Предмет: Математика,
автор: ayayay45
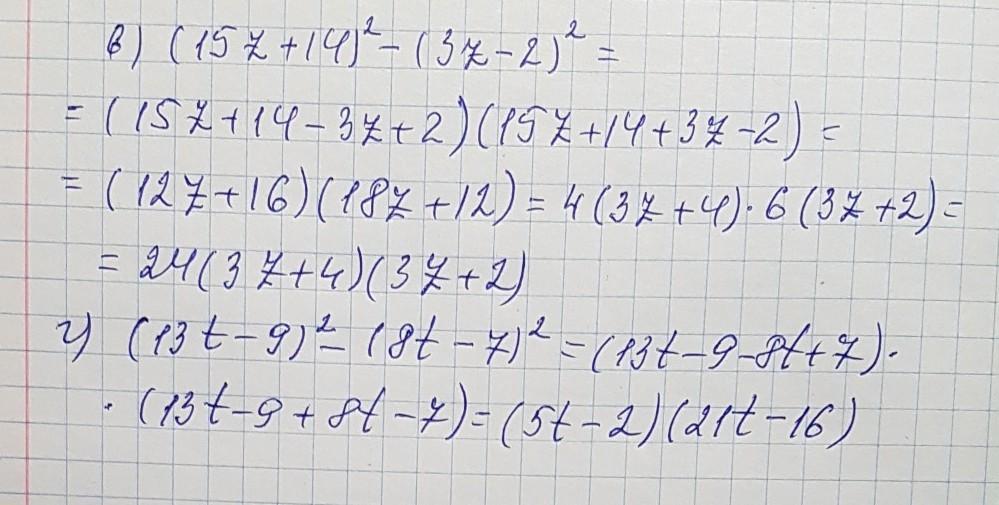
разложите многочлен на множители
Приложения:
Ответы
Автор ответа:
1
решение задания смотри на фотографии
Приложения:
ayayay45:
спасибо
пожалуйста
спасибо за оценку
Похожие вопросы
Предмет: Математика,
автор: nikitaggute
Предмет: Геометрия,
автор: yamiket
Предмет: Алгебра,
автор: viktoriya8019
Предмет: Математика,
автор: Slavik11111246
Предмет: Химия,
автор: Foxi111111