Предмет: Математика, автор: 6678220

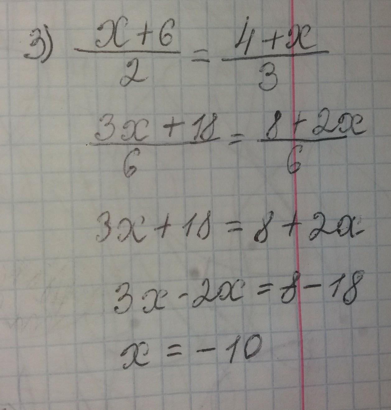
решить уравнение есть ответы 1)2 ; 2)-2; 3)-10;4)5; 5)-5; 6)-1 помогите пож матимат 6 кл​

Приложения:

Ответы

Автор ответа: tokhtakhunovaaaa
1

вот 1 и 2,3,4,5 остальное не загружается

Приложения:

6678220: нету
6678220: коментарию можете написать решение?
tokhtakhunovaaaa: я не могу фото прикрепить
tokhtakhunovaaaa: (2х-3/5)=(х-2/3)
tokhtakhunovaaaa: (6х-9/15)=(5х-10/15э
tokhtakhunovaaaa: )*
tokhtakhunovaaaa: 6х-9=5х-10
tokhtakhunovaaaa: 6х-5х=-10+9
tokhtakhunovaaaa: х= -1
6678220: огромное спасибо отмечу лутшим ответом
Похожие вопросы
Предмет: Математика, автор: rybkinam326
Предмет: Алгебра, автор: GraceYuliya