Предмет: Алгебра, автор: kaktak48

в первом и втором найти предел
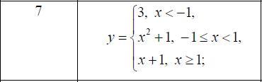
в третьем исследовать на непрерывность функцию, построить ее график

Приложения:

Ответы

Автор ответа: Хуqожнuк
1

Решение во вложении.

Приложения:

kaktak48: спасибо вам большое, можно будет если что ещё обращаться?
Хуqожнuк: Конечно
Похожие вопросы
Предмет: Информатика, автор: dankad100
Excel
1.В ячейке A4 записать число х, в ячейку B число y (см. табл. вариантов). Используя логические функции проверить, принадлежит ли оно отрезку [4,9]. Если принадлежит, то в ячейке В5 должен выводится текст: «Принадлежит». Если не принадлежит, то в ячейке В5 должен быть текст: «Не принадлежит».

2.Вычислите значение (у-х) в ячейке А7. Если оно отрицательное, в ячейке В7 вычислите x2, если положительное –y2.

3.Если значения х и у оба положительны, в ячейке С5 вычислите их сумму, если оба отрицательны, в ячейке С5 вычислите модуль их разности, если одно из них отрицательно, в ячейке С5 вычислите сумму их модулей.

4.Если сумма х и у больше 45 или их разность меньше 12, в ячейке D3 вычислите их произведение, в противном случае, в ячейке D3 вычислите сумму их квадратов.

5.Торговый агент получает процент от суммы совершённой сделки. Если объем сделки до 3000, то 5%; если объём до 10000, то 2%; если выше 10000, то 1,5%. Введите в ячейку А10 текст «Объем сделки», в ячейку А11 – «Размер вознаграждения». В ячейку В10 введите объём сделки, а в В11 – формулу, вычисляющую размер вознаграждения.

6.Покажите на 3-х примерах как работают функции даты и времени (можно использовать любые функции данной категории).

7.Покажите на 3-х примерах как работают текстовые функции (можно использовать любые функции данной категории).

8.Заполните любыми числами блок К4:L12. Посчитайте среднее значение этого диапазона ячеек, используя соответствующую статистическую функцию.
Предмет: Химия, автор: Ученик22854
Предмет: Литература, автор: nelnel111