Предмет: Математика,
автор: katyyy4
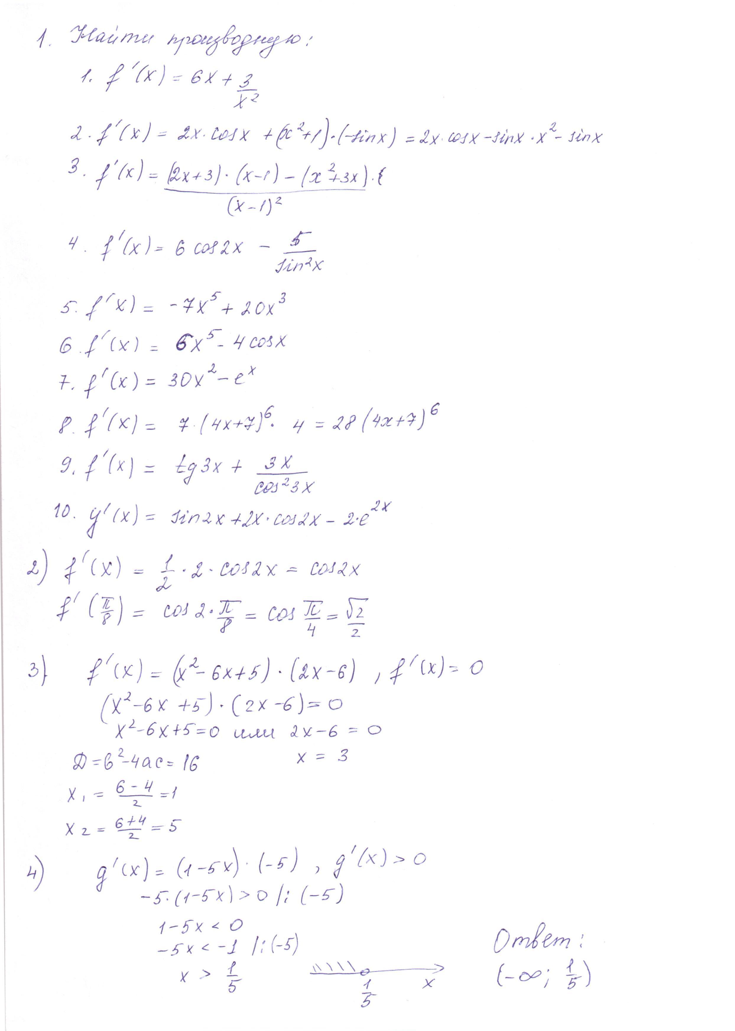
Помогите пожалуйста решить! Очень срочно.
Приложения:
Ответы
Автор ответа:
1
Ответ:
Пошаговое объяснение:
Приложения:
Похожие вопросы
Предмет: Химия,
автор: onegine58
Предмет: История,
автор: ripffo
Предмет: Алгебра,
автор: jeni29112005
Предмет: Физика,
автор: Виктория111156678
Предмет: Математика,
автор: gbsbzbs