Предмет: Физика,
автор: 130181
Помогите с физикой!!!!!!!!!!!
Мяч бросили вертикально вверх со скоростью 10 м / с. Определите путь, который он пролетит до максимального поднятия.
Ответы
Автор ответа:
1
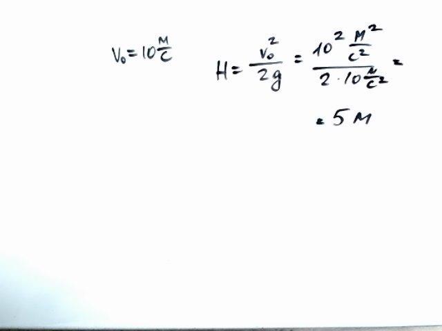
Помогите с физикой!!!!!!!!!!!
Мяч бросили вертикально вверх со скоростью 10 м / с. Определите путь, который он пролетит до максимального поднятия.
Приложения:
Похожие вопросы
Предмет: Литература,
автор: gulshirinatamyradova
Предмет: Английский язык,
автор: lerik200908
Предмет: Математика,
автор: egorkara790
Предмет: Химия,
автор: простой17