Предмет: Математика,
автор: decochan
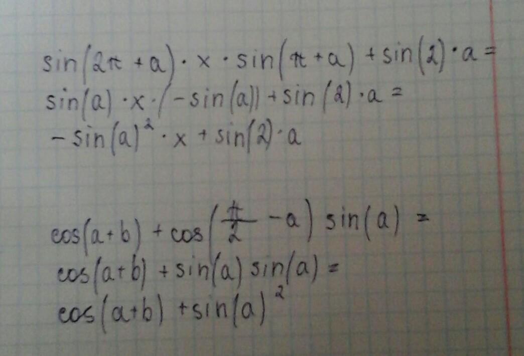
Упростить:
sin(2П+a) x sin(П+a)+sin(2)a
cos(а+b) + cos(П/2-a) sin a
Ответы
Автор ответа:
5
Решение см на листочке.
Приложения:
Похожие вопросы
Предмет: Литература,
автор: zavarykin
Предмет: История,
автор: uli4kagay
Предмет: Математика,
автор: ZdesNik817
Предмет: Математика,
автор: нурлыбек5
Предмет: Математика,
автор: sasha1145