Предмет: Алгебра,
автор: Милена1905
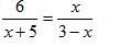
Срочно! Решите пожалуйста
Приложения:
Ответы
Автор ответа:
0
Решение задания приложено
Приложения:
Милена1905:
спасибо)♥)
Автор ответа:
0
Прости, но дальше не получается, но я смог не много упростить, если сможешь дальше можешь сам дощитать
Приложения:
спасибо))♥
Похожие вопросы
Предмет: Математика,
автор: Difiz
Предмет: Английский язык,
автор: wilfman87
Предмет: Математика,
автор: samira250612
Предмет: История,
автор: моцбратанттг