Предмет: Алгебра,
автор: wargaming190789
Ребят очень нужна помощь.Завтра КР помогите дам 20 балов. Заранее спасибо :)
Приложения:
Ответы
Автор ответа:
0
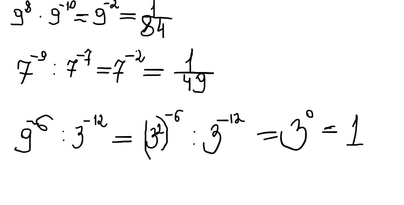
вот 1 задание........
Приложения:
Похожие вопросы
Предмет: Физика,
автор: HunterBest
Предмет: Русский язык,
автор: laladashdiyeva
Предмет: Математика,
автор: sabitova872149
Предмет: Математика,
автор: enni778