Предмет: Алгебра,
автор: ismich
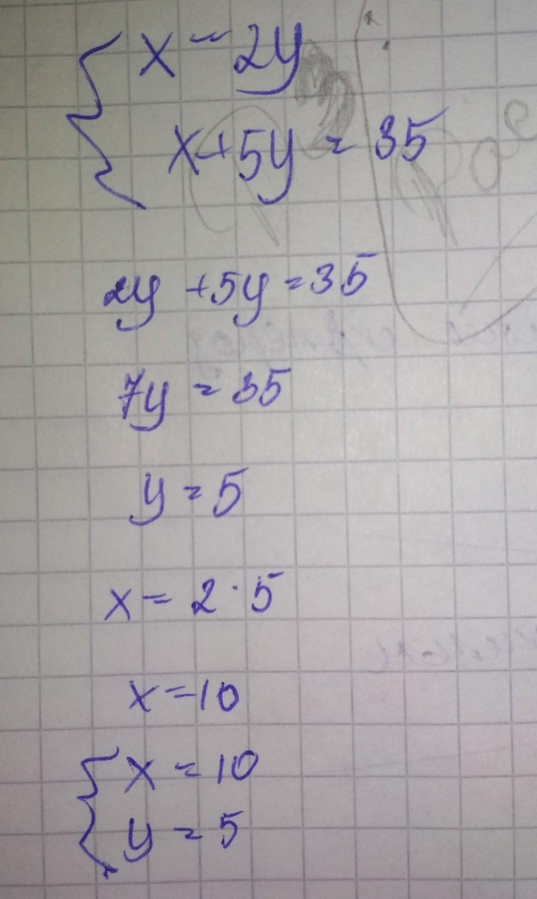
Решите плиз. Система
{X=2y
{x+5y=35
Ответы
Автор ответа:
0
Автор ответа:
1
Вместо х во втором уравнении подставляешь х в первом
Приложения:
Похожие вопросы
Предмет: Оʻzbek tili,
автор: yanasuper1256
Предмет: Математика,
автор: Towergo
Предмет: Математика,
автор: sadk3fir4ik
Предмет: Математика,
автор: laulaailana
Предмет: История,
автор: 2004ola84