Предмет: Геометрия,
автор: andreysl199120
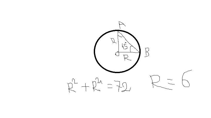
Есть хорда длина которой 6✓2 она стягивает дугу кола, градусная мера которой 90°. Найти длину кола?
Ответы
Автор ответа:
3
Приложения:
Похожие вопросы
Предмет: Математика,
автор: rpastisok
Предмет: Информатика,
автор: eDiSoNKaTy
Предмет: Алгебра,
автор: romashkoviktori2
Предмет: Математика,
автор: 3564579575
Предмет: Математика,
автор: даня730