Предмет: Математика,
автор: gangstart
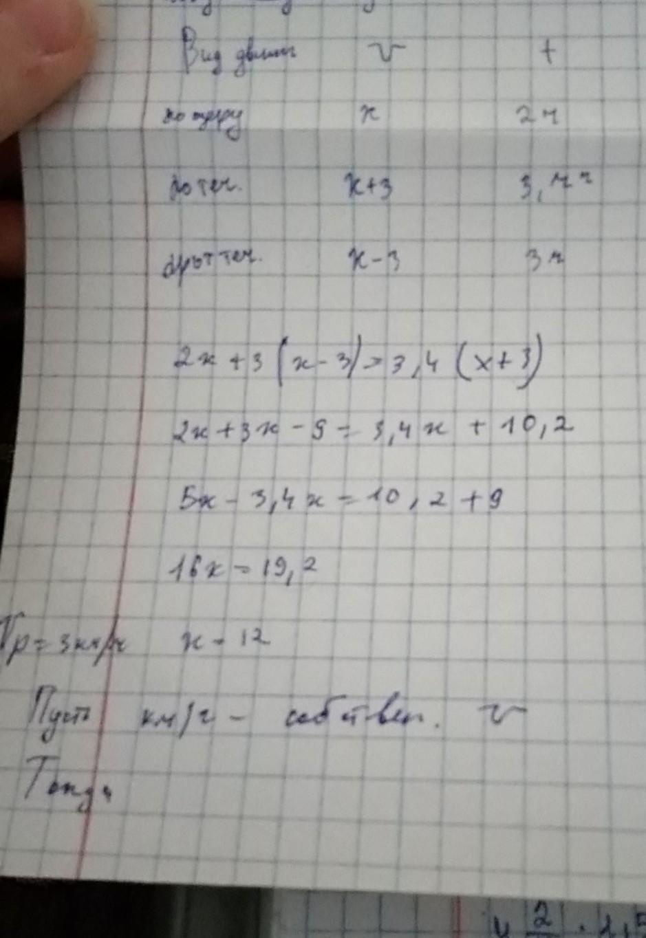
Помогите пж. Катер за 2 часа по озеру.....
Приложения:
Ответы
Автор ответа:
3
в конце неправильно кажется проверь хотя 19,2÷16=12
Приложения:
Похожие вопросы
Предмет: Алгебра,
автор: nastymax08
Предмет: ОБЖ,
автор: 707Veronika707
Предмет: Литература,
автор: kristinasimonenko31
Предмет: Математика,
автор: полина1143
Предмет: Биология,
автор: Vadim2258894