Предмет: Алгебра,
автор: gurgen4ik
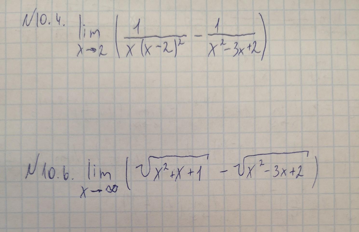
пределы АКТУАЛЬНО 15 МИНУТ
Приложения:
Ответы
Автор ответа:
1
!!!!!!!!!!!!!!!!!!!!!!!!
Приложения:
gurgen4ik:
а второй?)
Обновите страницу. Добавлено второе фото.
От души) хотите сбер скиньте небольшую благодарочку скину
Не надо.
Похожие вопросы
Предмет: Окружающий мир,
автор: userum400363
Предмет: Русский язык,
автор: annakayzer7292
Предмет: ОБЖ,
автор: usernomber10202017
Предмет: Математика,
автор: Аноним
Предмет: Физика,
автор: настюшка245