Предмет: Алгебра,
автор: bonexecsgo
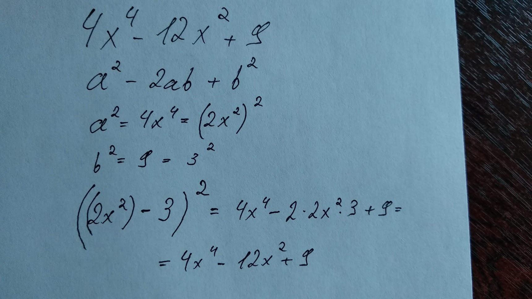
Представьте трехчлен в виде квадрата суммы или квадрата разности двучлена.
4x^4-12x^2+9
Ответы
Автор ответа:
1
Ответ
Подробное решение
Приложения:
Похожие вопросы
Предмет: Английский язык,
автор: FoxikGameYouTube
Предмет: Геометрия,
автор: alice4049
Предмет: Математика,
автор: sabinakurbanova0009
Предмет: Химия,
автор: тупица44
Предмет: Геометрия,
автор: stevestucky