Предмет: Математика,
автор: Аноним
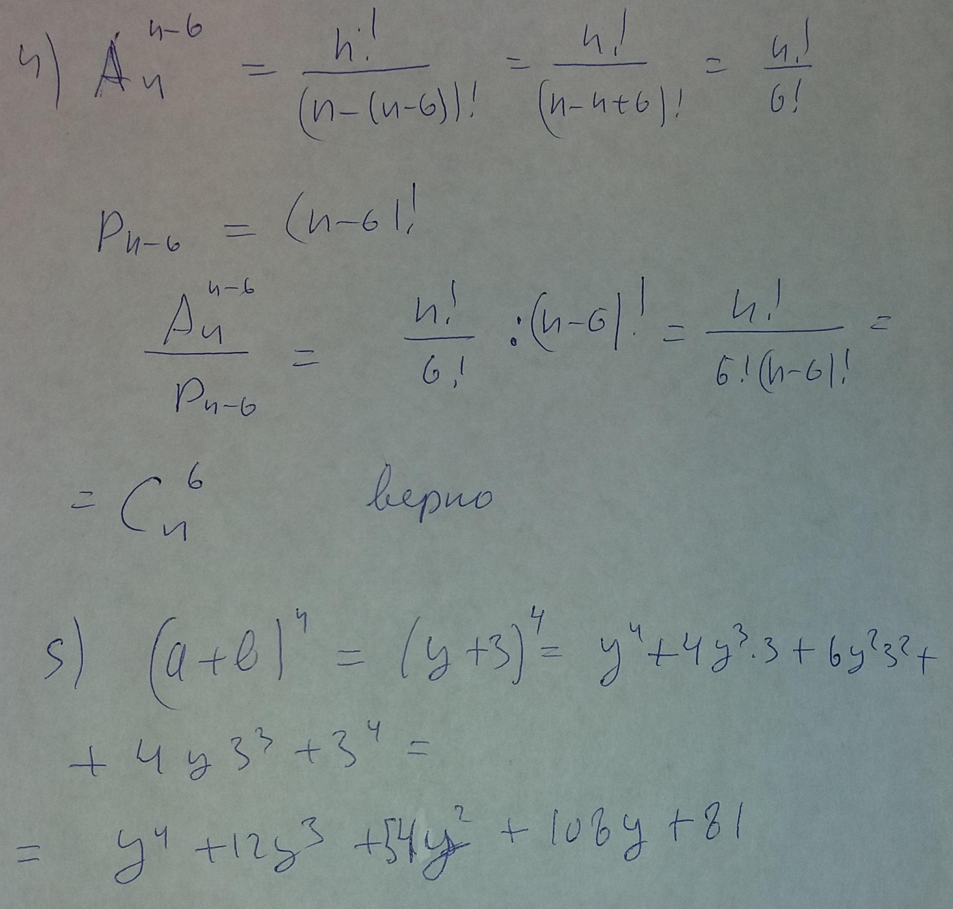
4 и 5 задания решить
Приложения:
Ответы
Автор ответа:
1
Ответ:
Пошаговое объяснение:
Приложения:
Похожие вопросы
Предмет: География,
автор: meva98292
Предмет: Українська література,
автор: angelinavisocka2
Предмет: Геометрия,
автор: helenzolotokk
Предмет: Математика,
автор: человек254