Предмет: Алгебра, автор: knes

ПОЖАЛУЙСТА, решите все, что сможете. Заранее, спасибо)

Приложения:

Ответы

Автор ответа: asialoban
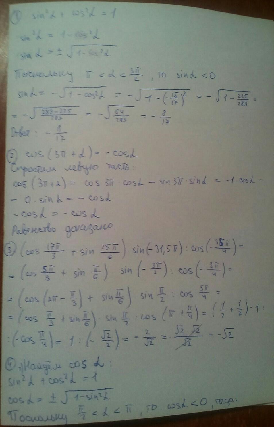
1

Решение на фотографии

Приложения:

knes: спасибо большое)
Похожие вопросы
Предмет: Математика, автор: milanavorobeva314
Предмет: Алгебра, автор: danagetmanov9
Предмет: Химия, автор: аринка11111
АЛКЕНЫ
3 вариант
1.Общая формула алкенов следующая: а) СnH2n+2 б) СnH2n-2 в) СnH2n-4 г) СnH2n
2. В названиях этиленовых углеводородов используется суффикс: а) -ан; б)-ен; в)-диен; г)-ин
3. Для этилена характерны следующее электронное строение и геометрические параметры молекулы:
1) тип гибридизации углеродных атомов:
a) sp ; б) sp2 ; в) sp3 ; г) sp3d2 ;
2) углы связей в молекуле:
а) 109,5°; 6)180°; в) 90°; г) 120°;
3) длина связи С- С :
а) 0,120 нм ; б) 0,134 нм ; в) 0,140 нм ; г) 0,154 нм
4) геометрическая форма молекулы:
а) тетраэдр; б) плоская;
в) линейная; г) треугольная
4. Углеводород СН3-СН(С2Н5)-СН2-С(СН3)2-СН3 имеет такое систематическое название:
а) 2-этил-4,4-диметилпентан; б) 2,2-диметил-4-этилпентан;
в) 1,1,1,3-тетраметилпентан; г) 2,2,4-триметилгексан
5. Из нижеперечисленных алкенов геометрическая (цис-транс)изомерия будет характерна лишь для:
а) 3,3-диметилпентена-1; б) 2,3-диметилпентена-1;
в) 2,3-диметилпентена-2; г) 3 -метилпентена-2.
6.Наиболее характерными для алкенов реакциями являются:
а) замещение; б) разложение; в) присоединение; г) крекинг
7.При гидробромировании 2-метилбутена основным продуктом реакции будет:
а) 2-бром-2-метилбутан; б) 2-бром-2-метилбутан;
в) 1-бром-2-метилбутан; г) 1-бром-3-метилбутан.
8. Известно, что 8,4 г алкена способны присоединить 32 г брома. Таким алкеном может быть:
а) 2-метилбутен-2; б)2-метилгексен-1; в) этилен; г) пропилен.
9. Гомологом вещества 2-метилпентен-1 является: А) 2-метилпентен-2 Б) 2-метилгексен-1 В) 3- метилпентен -1 в) 3- метилпентен -2
10. Качественные реакции на алкены: А) гидрирование б)окисление раствором перманганата калия
В) гидратация г) бромирование