Предмет: Алгебра,
автор: mrserr2013
Помогите с примером
Ответы
Автор ответа:
0
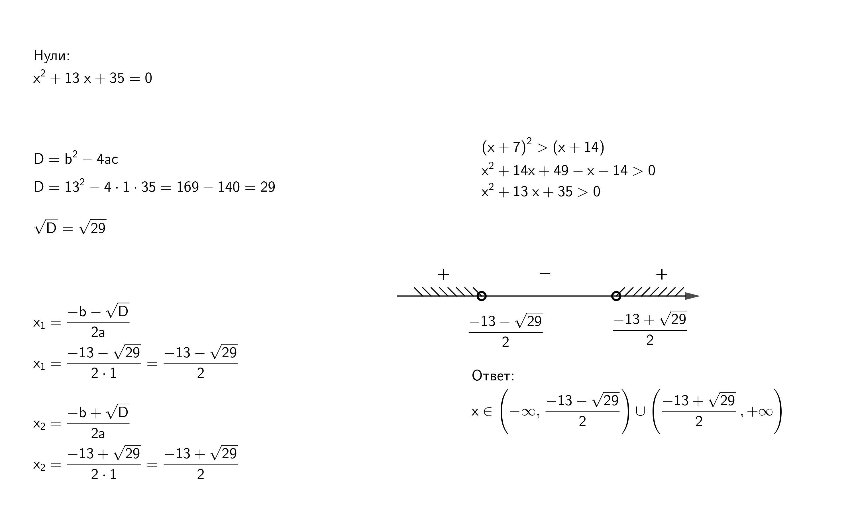
Ответ в файле
………………...........
Приложения:
Похожие вопросы
Предмет: География,
автор: anat95716
Предмет: Математика,
автор: arsenykmargo
Предмет: Математика,
автор: terekhovkiril
Предмет: Математика,
автор: love114
Предмет: Математика,
автор: анастасия1979