Предмет: Математика,
автор: annna1865
844 под а
Помогите пожалуйста
Приложения:
Ответы
Автор ответа:
0
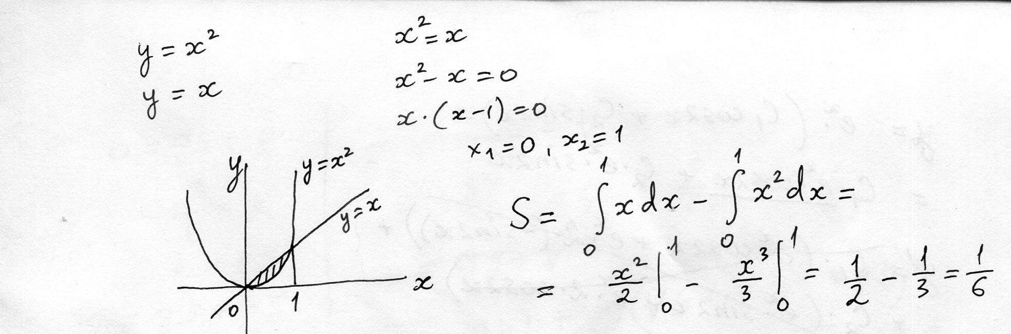
я решил задание на листочке ===>>
Приложения:
Похожие вопросы
Предмет: Қазақ тiлi,
автор: askarovagulsanam1
Предмет: Қазақ тiлi,
автор: aleeeksq
Предмет: Қазақ тiлi,
автор: sakulaqwak
Предмет: Математика,
автор: Аноним