Предмет: Алгебра,
автор: angela8877com
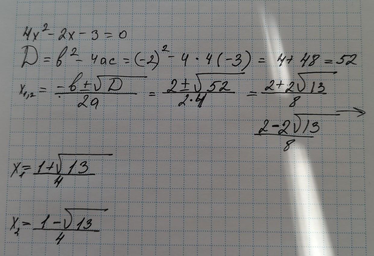
решить уровнение общей формулой 4× в квадрате-2×-3=0 срочнооо
Ответы
Автор ответа:
2
Вот как и просил решить
Приложения:
Похожие вопросы
Предмет: Математика,
автор: DimasShilov6260
Предмет: Математика,
автор: albinagadaeva575
Предмет: Математика,
автор: zxcvbnm5915
Предмет: Геометрия,
автор: menga
Предмет: Математика,
автор: Машуня20022016