Предмет: Алгебра,
автор: alinazayczewa2
срочно!! решите уравнения 1. 
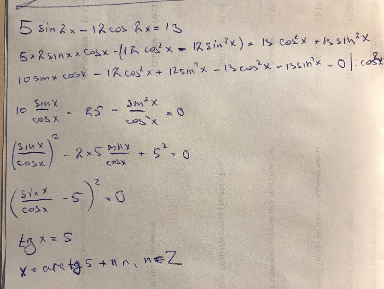
2. 5sin2x-12cos2x=13
Ответы
Автор ответа:
0
В первом задании точно не ?
А то ответ получается не красивый. [tex]\sqrt{\frac{3}{2} } ≈1,22, sinx>1.22 - sinx всегда больше 0
Приложения:
alinazayczewa2:
нет, там именно так, как я написала:)
не могу формулу написать в ответе, все время какая то хрень получается))
2. уравнение 100% правильно, я ответ проверил на калькуляторе, 1. тоже вроде верно)
Похожие вопросы
Предмет: Русский язык,
автор: bogdanx6252
Предмет: Русский язык,
автор: IrinaNyaKnowAll6543
Предмет: Математика,
автор: yulich6949
Предмет: Алгебра,
автор: Яха1111
Предмет: Математика,
автор: Klane