Предмет: Алгебра,
автор: yanaushatova
помогите с (б),пожалуйста ,дам 10 баллов
Приложения:
Ответы
Автор ответа:
1
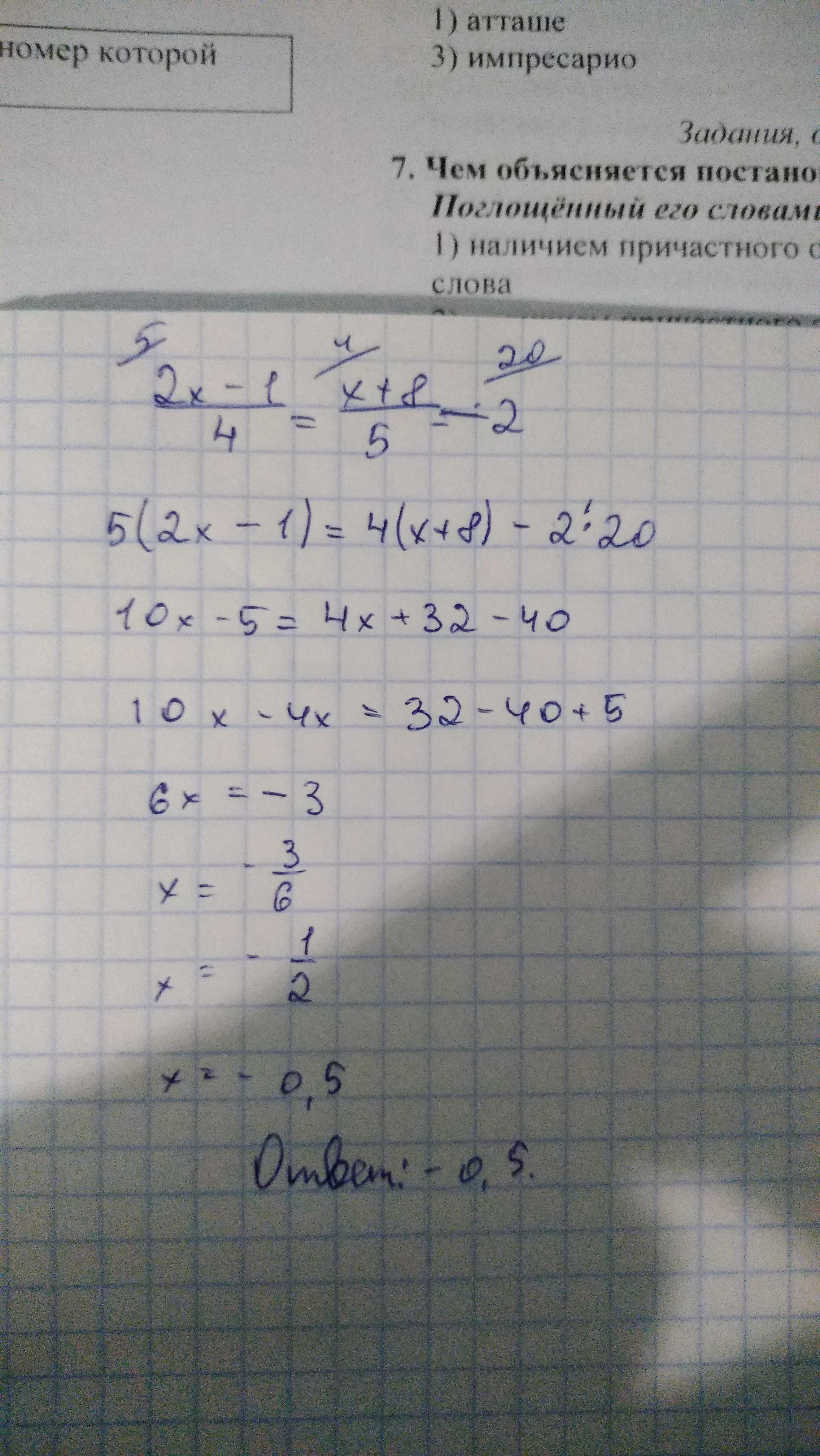
Ответ показан на картинке
Приложения:
yanaushatova:
спасибо большое!
Автор ответа:
1
2x-1/4=x+8/5-2
5(2х-1)=4(х+8)-40
10х-5=4х+32-40
10х-5=4х-8
10х-4х= -8+5
6х= -3
х= -1/2
Похожие вопросы
Предмет: Українська мова,
автор: may786082
Предмет: Другие предметы,
автор: gglares8652
Предмет: Литература,
автор: maga4144
Предмет: Математика,
автор: Аноним
Предмет: Обществознание,
автор: Аноним