Предмет: Математика,
автор: 01mtb
Прошу помощи с решением уравнения.
Приложения:
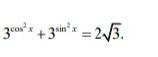
Ответы
Автор ответа:
0
Есть вопросы - пиши.
---------------------------------
Приложения:
Похожие вопросы
Предмет: Музыка,
автор: rakatyshev
Предмет: Другие предметы,
автор: Аноним
Предмет: Алгебра,
автор: Аноним
Предмет: Математика,
автор: ника1582
Предмет: Обществознание,
автор: Ilya19561122