Предмет: Алгебра,
автор: CharlizLebedeva
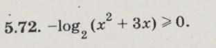
30 баллов за решение одного логарифмического неравенства! Задание на фото. Помогите пожалуйста. Большое спасибо.
Приложения:
diana232448:
график надо?
Ответы
Автор ответа:
1
на фото...............
Приложения:
Похожие вопросы
Предмет: Русский язык,
автор: meowwq2
Предмет: Математика,
автор: ifgtu20
Предмет: Музыка,
автор: dimkh
Предмет: Алгебра,
автор: Настюшка3010
Предмет: Обществознание,
автор: dengorlyshev