Предмет: Геометрия,
автор: sulija18
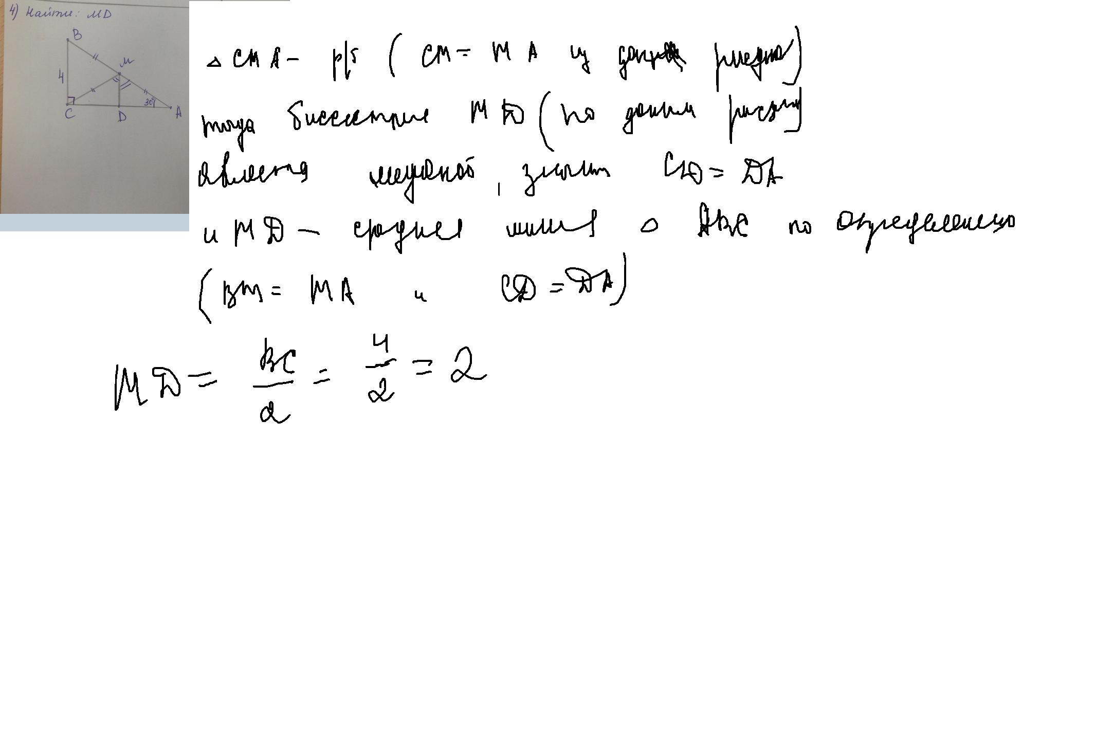
Помогите пожалуйста, очень надо
Приложения:
Ответы
Автор ответа:
1
Помогите пожалуйста, очень надо
Приложения:
sulija18:
Божеский, спасибо большое
Похожие вопросы
Предмет: Английский язык,
автор: onenro
Предмет: Математика,
автор: intertenl0ve
Предмет: Английский язык,
автор: pinchalog
Предмет: Математика,
автор: lenagunchenko1
Предмет: Обществознание,
автор: Аноним