Предмет: Математика,
автор: maribuling
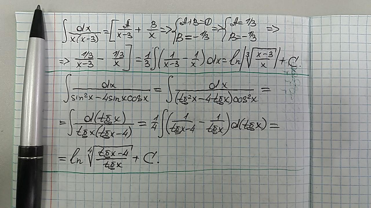
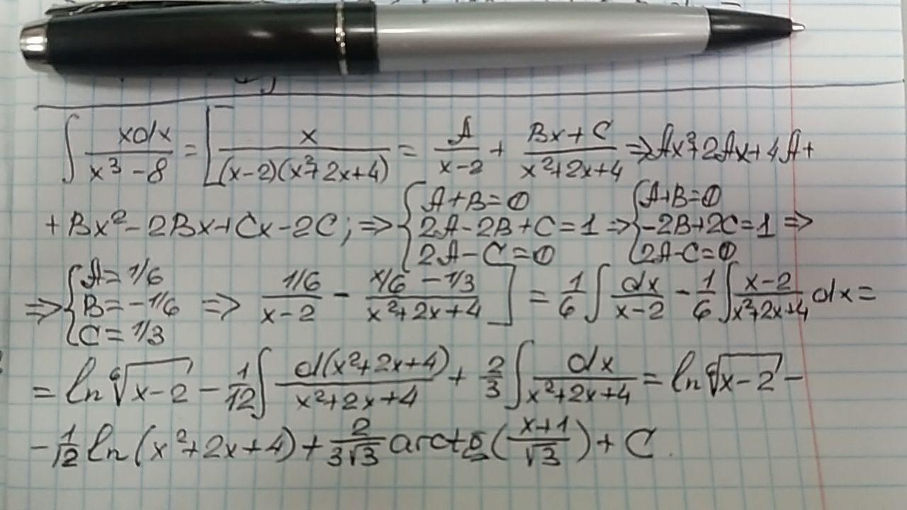
Найти неопределенный интеграл.
∫xdx/x³-8
∫dx/x(x-3)
∫dx/sin²x-4sinxcosx
Ответы
Автор ответа:
1
Посмотрите предложенное решение, оформление не соблюдалось.
Приложения:
Похожие вопросы
Предмет: Физика,
автор: akkwkdoek
Предмет: Математика,
автор: mixailovlamar2
Предмет: Физика,
автор: Eve321
Предмет: География,
автор: dasha09122
Предмет: Математика,
автор: katerinka54