Предмет: Алгебра,
автор: onlytester01
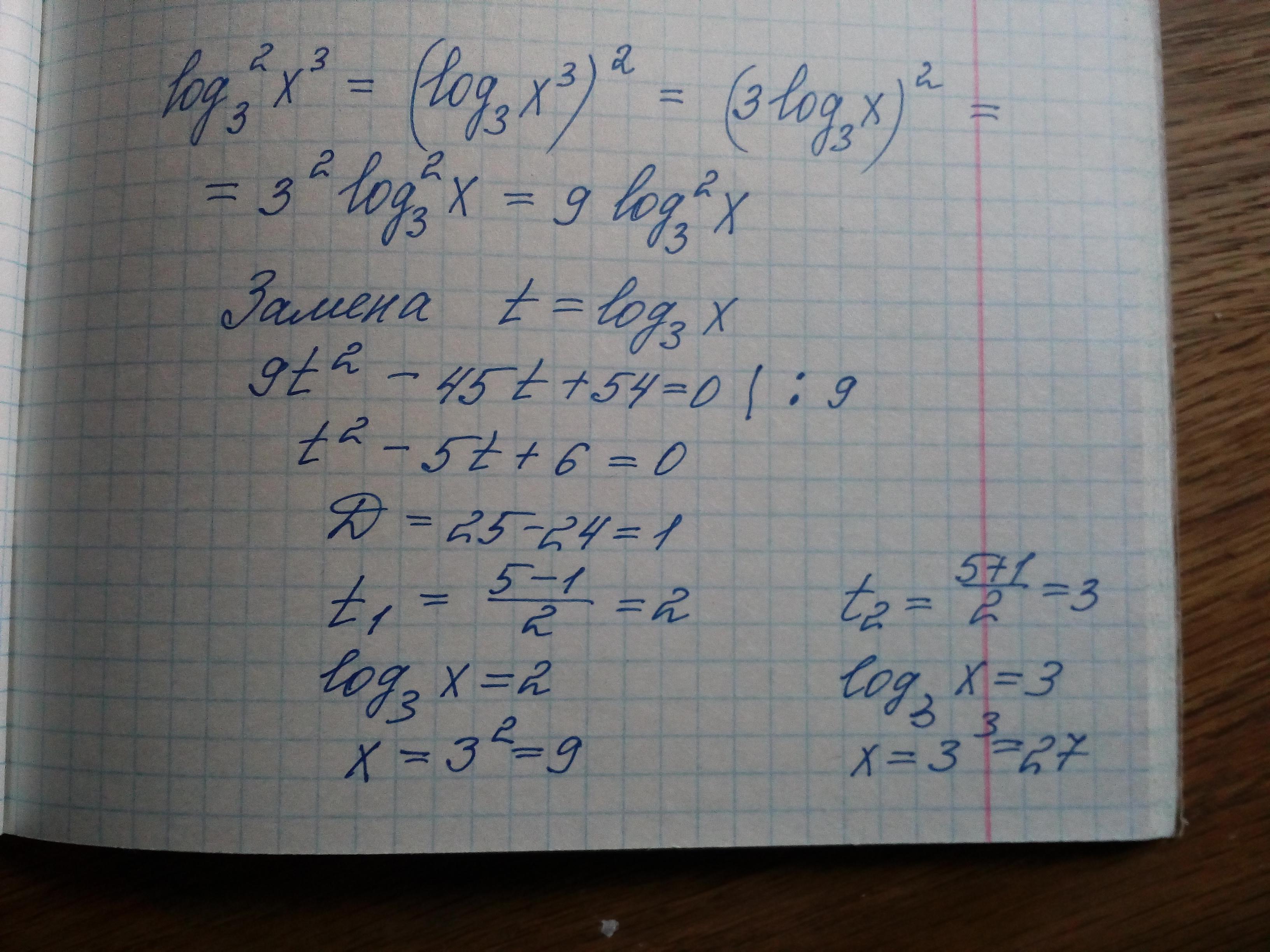
Логарифмы. Объясните момент.
Перед вами два пути решения: слева - верно, справа - нет.
Итак, почему, если под замену брать ㏒₃Х³ - ответ получается верным, а в ином случае (t = ㏒₃Х) - нет. Не особо понимаю.
Приложения:
Ответы
Автор ответа:
1
!!!!!!!!!!!!!!!!!!!!!!!!!
Приложения:
onlytester01:
Понятно. Это я криворукий x)
Похожие вопросы
Предмет: Русский язык,
автор: Аноним
Предмет: История,
автор: kiravasutik60
Предмет: Английский язык,
автор: rileyyyy
Предмет: Литература,
автор: ZelVl
Предмет: География,
автор: Taisa5561