Предмет: Математика,
автор: qw78as45
Решите пжл эти три тригонометрические уравнения. Подробное решенте нужно ....
Приложения:
Ответы
Автор ответа:
0
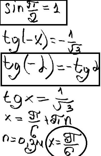
Ответ:
6.1)
Пошаговое объяснение:
Приложения:
Похожие вопросы
Предмет: Литература,
автор: batuevmaksar5
Предмет: Математика,
автор: DianaKairatkizi
Предмет: Алгебра,
автор: sasagro873
Предмет: Обществознание,
автор: тунджай11939
Предмет: Математика,
автор: ден0804