Предмет: Алгебра, автор: LuisaKiss

Упростите примеры, подробнее, пожалуйста

Приложения:

Ответы

Автор ответа: ZarinaTaygunova
0

............................

Приложения:
Автор ответа: NNNLLL54
0

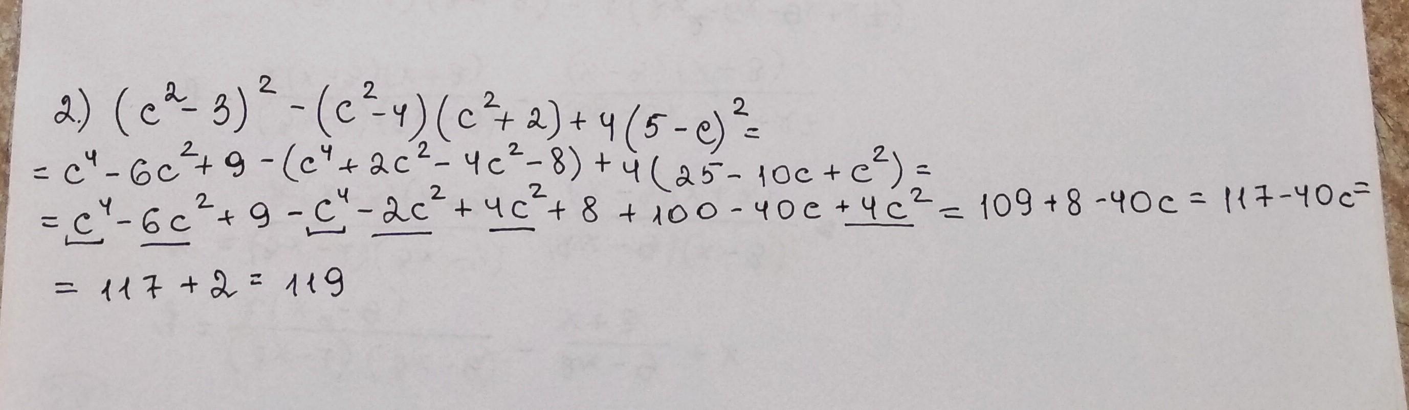
1)\; \; x=-3\; \; ,\; \; y=3,5\\\\(x-3y)^2-(3x-y)^2=\Big [\; A^2-B^2=(A-B)(A+B)\; \Big ]=\\\\=(x-3y-3x+y)(x-3y+3x-y)=(-2x-2y)(4x-4y)=\\\\=-2\cdot 4\cdot (x+y)(x-y)=-8\cdot (-3+3,5)(-3-3,5)=\\\\=-8\cdot 0,5\cdot (-6,5)=26\\\\\\2)\; \; c=-0,05\\\\(c^2-3)^2-(c^2-4)(c^2+2)+4(5-c)^2=\\\\=c^4-6c^2+9-(c^4-2c^2-8)+4(25-10c+c^2)=\\\\=-4c^2+17+100-40c+4c^2=117-40c=117+40\cdot 0,05=119

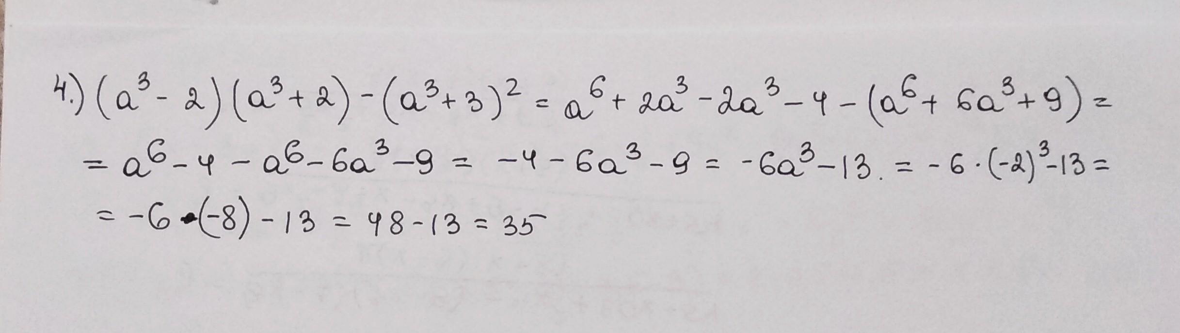
3)\; \; m=-3,5\\\\(m+5)^2-(m-4)(m+4)=m^2+10m+25-(m^2-16)=\\\\=10m+41=-35+41=6\\\\\\4)\; \; a=-2\\\\(a^3-2)(a^3+2)-(a^3+3)^2=(a^3)^2-2^2-(a^6+6a^3+9)=\\\\=a^6-4-a^6-6a^3-9=-6a^3-13=-6\cdot (-8)-13=48-13=35

Похожие вопросы
Предмет: Математика, автор: Аноним
Предмет: Литература, автор: в4356767
Предмет: История, автор: Аноним