Предмет: Алгебра, автор: lana278

ПОМОГИТЕ!!! Прошу помогите с 34.15.! Я просто не поняла эту тему!​

Приложения:

Ответы

Автор ответа: starttodream111
4
..............................
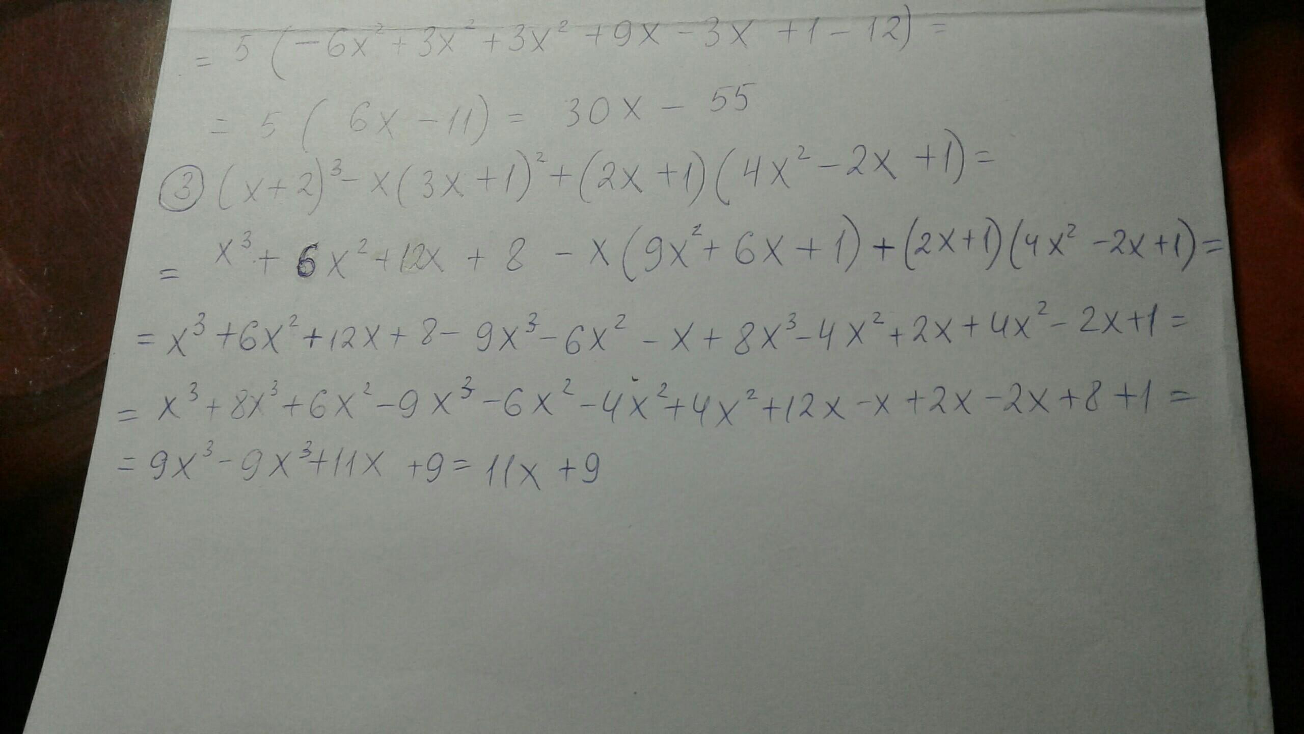
Приложения:

lana278: там конец 2 не виден
lana278: ау
lana278: можешь скинуть конец 2?(
starttodream111: уже скинула. Там последнее фото
lana278: хорошо
lana278: спасибо
starttodream111: пожалуйста )
Похожие вопросы
Предмет: Математика, автор: draugangbor2
Предмет: Математика, автор: vsevolodmajkov1