Предмет: Алгебра,
автор: biathlonworld01
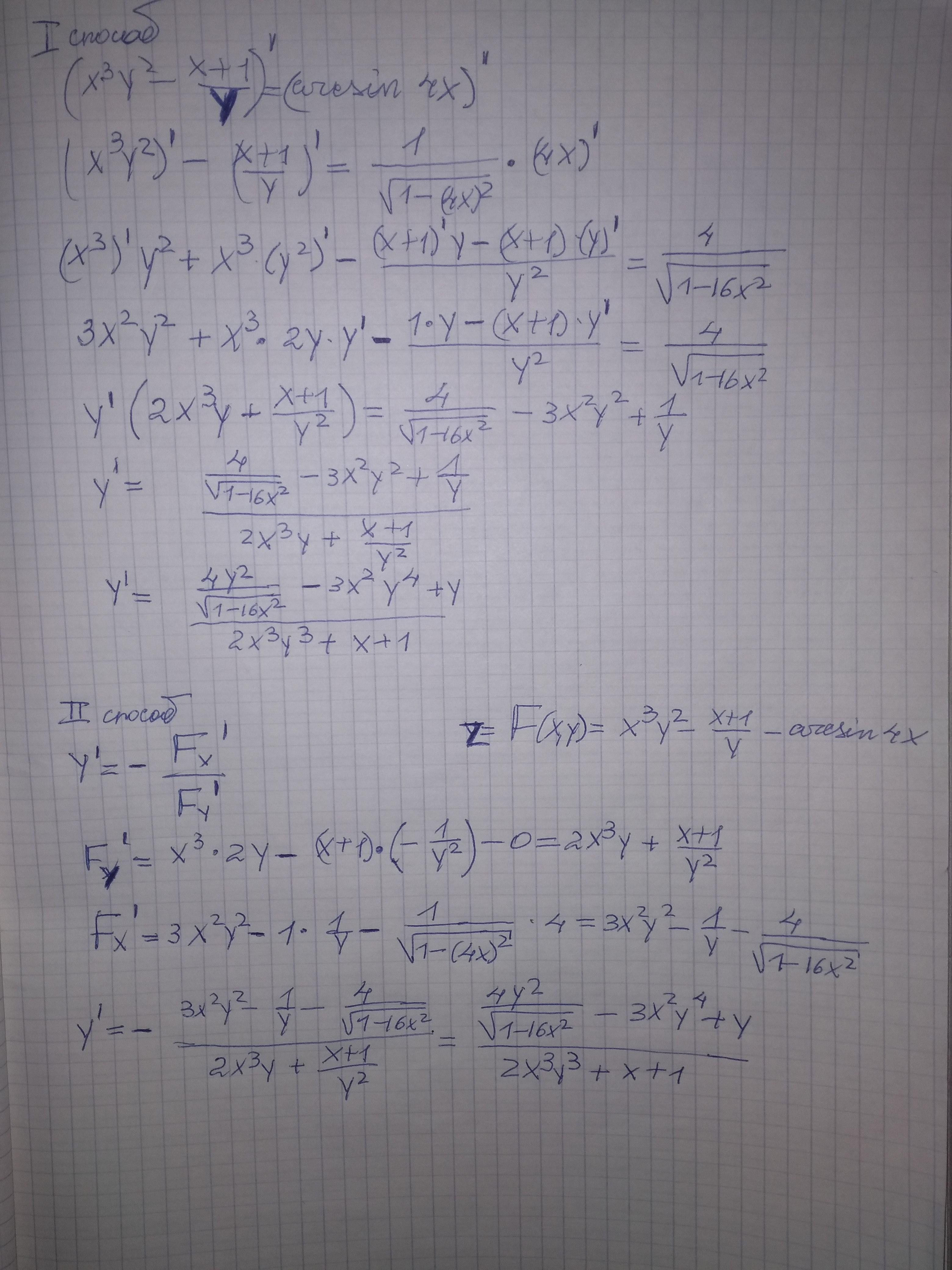
Объясните, пожалуйста, как находить производную неявной функции
Приложения:
Ответы
Автор ответа:
4
Пошаговое объяснение дано в приложении
Приложения:
biathlonworld01:
Огромное спасибо, всё понятно и просто. Пользовалась ранее 1 способом, но возникали трудности, 2 способ гораздо проще
Второй способ проще, но частные производные проходятся позже, чем производная неявно заданной функции, поэтому на всякий случай первый способ я тоже привел
Похожие вопросы
Предмет: Қазақ тiлi,
автор: Tiese
Предмет: Физика,
автор: shayrmavadila
Предмет: Английский язык,
автор: Vegvyubfhncrthh
Предмет: Математика,
автор: iyt1