Предмет: Физика,
автор: flower024
ПОЖАЛУЙСТА !!!!! подскажите ...
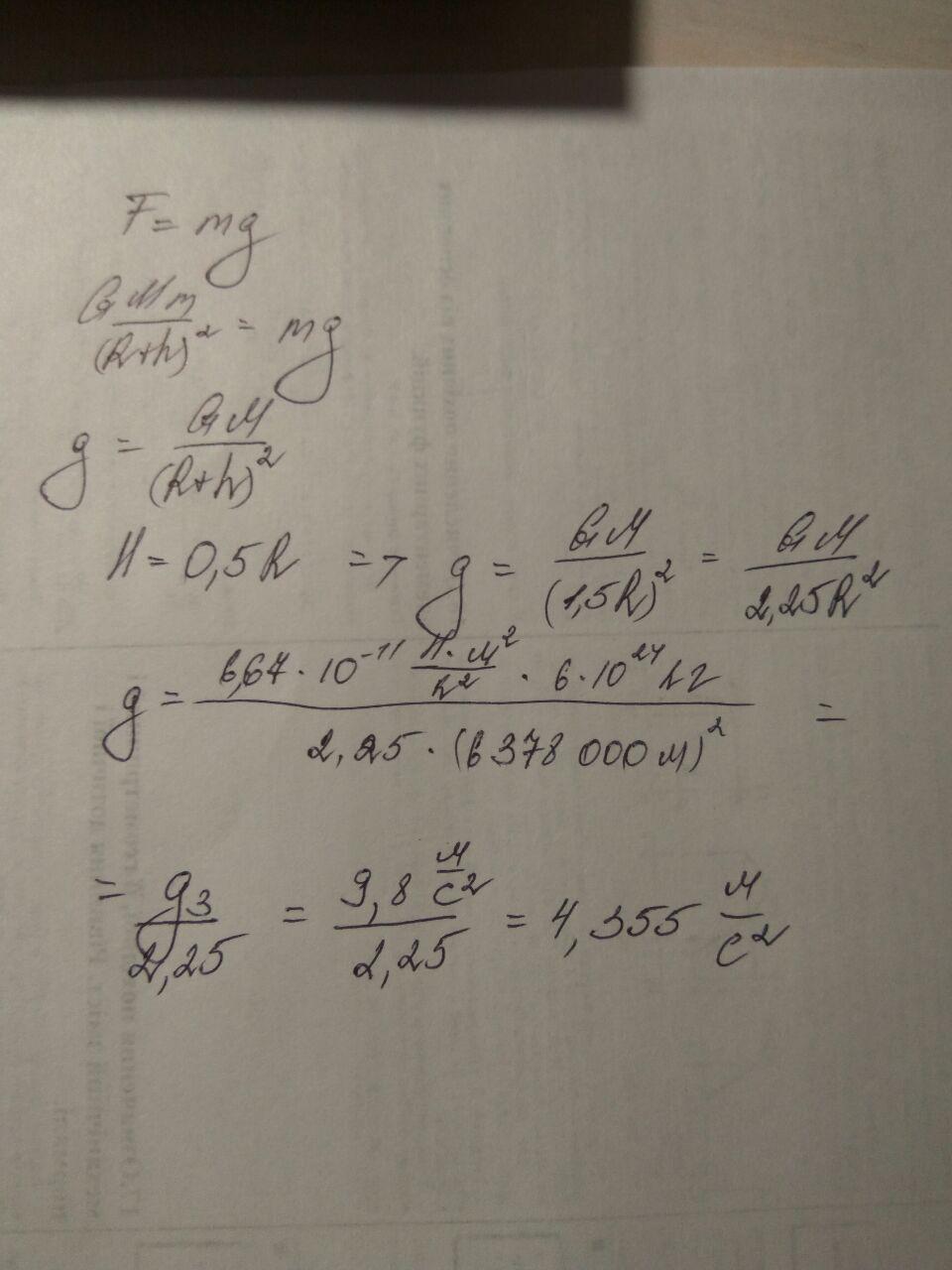
Укажіть прискорення вільного падіння на висоті H=0,5R над Землею .
flower024:
надо найти сколько будет в дроби ,и не совсем понятно как же его сделать :a)1/3g б)1/2g в)4/9g г)1/4g каков ответ из них правдивый?
ответ в) 0,44g = 4/9g
спасибо
Ответы
Автор ответа:
7
За законом всесвітнього тяжіння знаходимо залежність від прискорення вільного падіння на Землі і знаходимо g на висоті H.
Приложения:
Похожие вопросы
Предмет: Английский язык,
автор: YoliaTan123
Предмет: Русский язык,
автор: poplavskayaalina00
Предмет: Биология,
автор: mahamil
Предмет: Математика,
автор: сашаольховик
Предмет: Математика,
автор: Аноним