Предмет: Алгебра,
автор: бездарность228
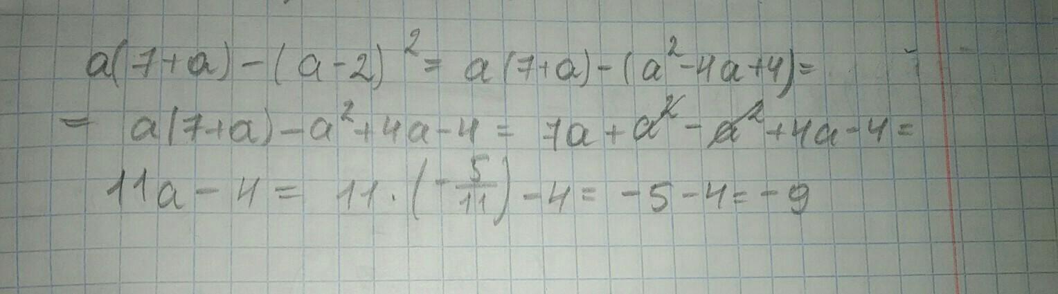
a(7+a)-(a-2)^2 при a=минус пять одинадцатых, известно что ответ -9 НУЖНО РЕШЕНИЕ
Приложения:
Ответы
Автор ответа:
2
думаю,правильно......
Приложения:
Похожие вопросы
Предмет: Қазақ тiлi,
автор: altynairaxmanovna
Предмет: Математика,
автор: 1442009
Предмет: История,
автор: olgatomcuk585
Предмет: География,
автор: Dilyara20054
Предмет: Биология,
автор: aegtrgaegtrg