Предмет: Математика,
автор: etamash56
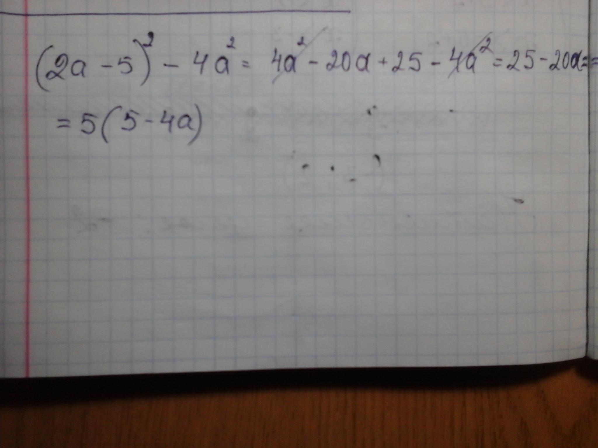
Упростить выражение: (2a-5)^2-4a^2
Ответы
Автор ответа:
1
Автор ответа:
0
Ответ:
решение на фотографии
Пошаговое объяснение:
Приложения:
Похожие вопросы
Предмет: Литература,
автор: varya01938
Предмет: Литература,
автор: kykymberder
Предмет: География,
автор: lerolendiss
Предмет: Обществознание,
автор: Даша00000001
Предмет: Алгебра,
автор: galeeva1galeeva