Предмет: Алгебра,
автор: АртёмПлотников
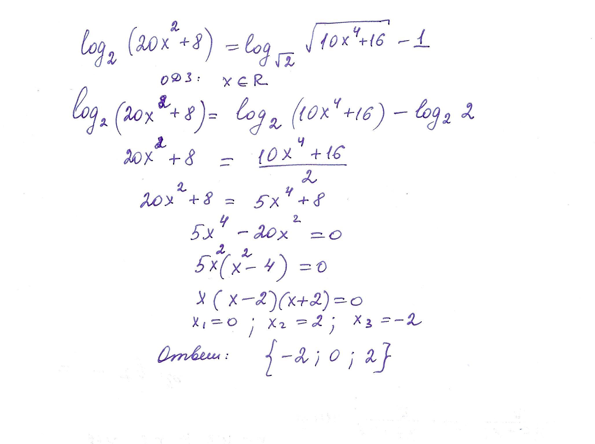
log2(20x^2+8)=log√2√10x^4+16-2
Приложения:
Ответы
Автор ответа:
12
решено задание на фото\\\\\\\\\\\\\\\\\\\\\\\\\\\\\\\\\\\\\\\\\\\\\\\\\\\\\
Приложения:
Похожие вопросы
Предмет: Литература,
автор: maksimperfilyev
Предмет: Математика,
автор: snytkinaksenia
Предмет: Математика,
автор: llliiizzzaaaaaaaaaa
Предмет: Математика,
автор: htuf
Предмет: География,
автор: SuperMaster1