Предмет: Алгебра,
автор: юля030
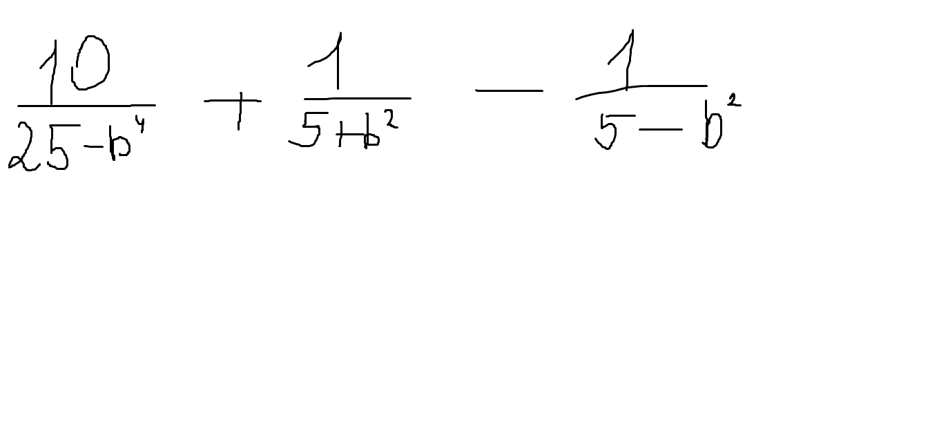
Докажите, что при всех допустимых значениях переменой значение выражения положительно
Приложения:
Ответы
Автор ответа:
0
[UYJHJHGJHGJGHJHGJGHJ
Автор ответа:
0
Числитель:10+5-в^-5-в^=10-2в^=2(5-в^)
Знаменатель:(5-в^)(5+в^), сокращаем и ответ:2/(5+в^); 5>0;5+в^>0, значит все выражение >0
Знаменатель:(5-в^)(5+в^), сокращаем и ответ:2/(5+в^); 5>0;5+в^>0, значит все выражение >0
Похожие вопросы
Предмет: Українська мова,
автор: pavloometsynskyi
Предмет: Алгебра,
автор: eoeiwa
Предмет: Русский язык,
автор: gastop624
Предмет: Математика,
автор: Аноним