Предмет: Математика,
автор: Аноним
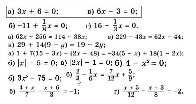
Здравствуйте! Помогите пожалуйста решить
Приложения:
Ответы
Автор ответа:
0
Ответ:
Пошаговое объяснение:
пиши пока это,сейчас решу остальное
Приложения:
Аноним:
пришли пожалуйста остальное
актуально?
Похожие вопросы
Предмет: Французский язык,
автор: Lopatkoanna01
Предмет: Математика,
автор: oaksigrbeheb
Предмет: Литература,
автор: lola240521
Предмет: Математика,
автор: олеся507
Предмет: Математика,
автор: ирка110