Предмет: Алгебра, автор: Yana09999

Срочно! Даю 20 баллов

Приложения:

Ответы

Автор ответа: Paul2910
1

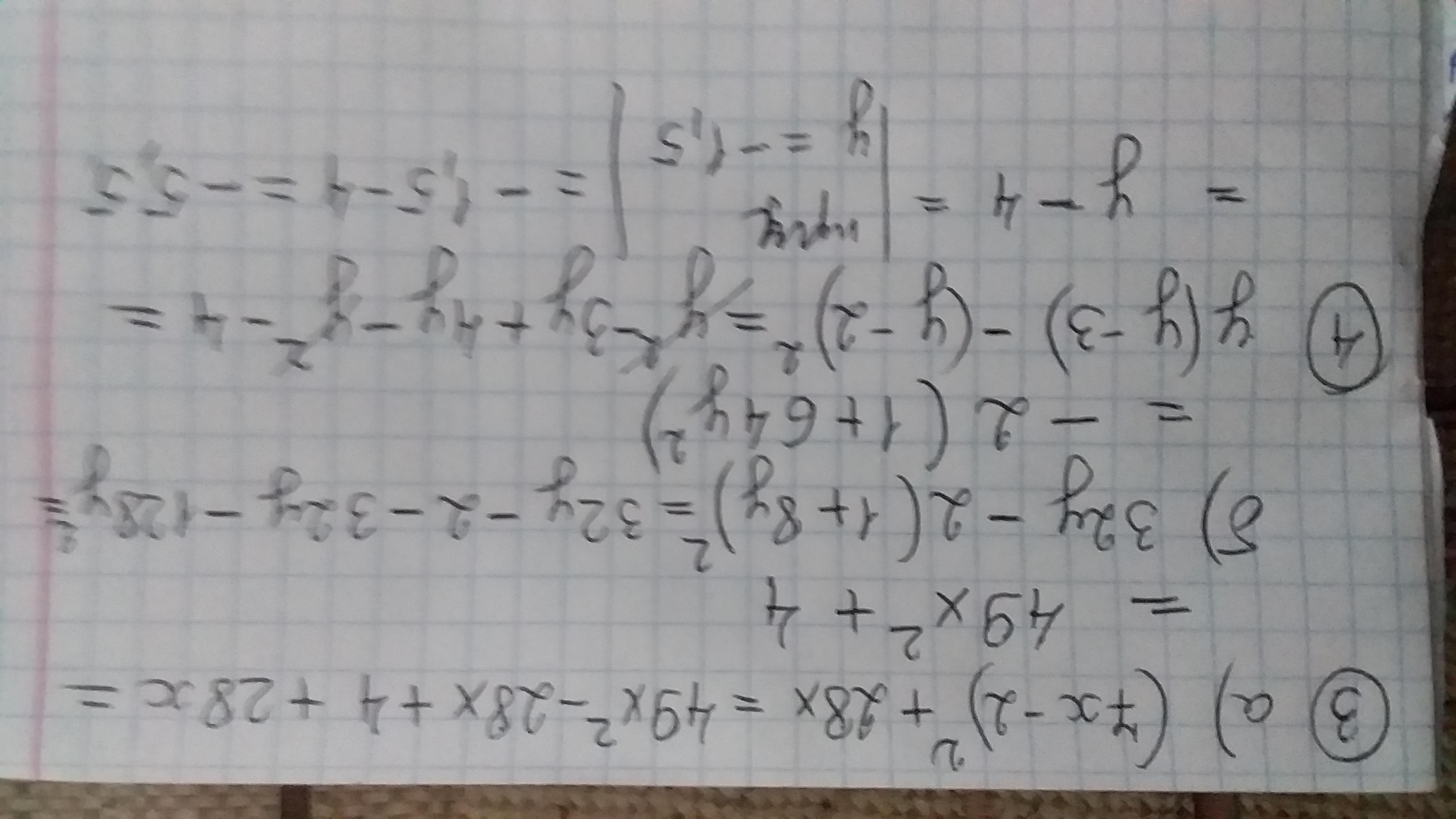
Решение приложено к снимку

Приложения:
Автор ответа: daniyarmuhammedkarim
1

!!!!!!!!!!!!!!!!!!!!!!

Приложения:
Похожие вопросы
Предмет: Биология, автор: borisgleb7
Предмет: Физика, автор: veronikakalinihenko
Предмет: Английский язык, автор: welterwelter704
Предмет: Математика, автор: Kt1m