Предмет: Математика,
автор: vikasovest3105
срочно!!! помогите решить оба номера
даю 35 баллов
Приложения:
Ответы
Автор ответа:
0
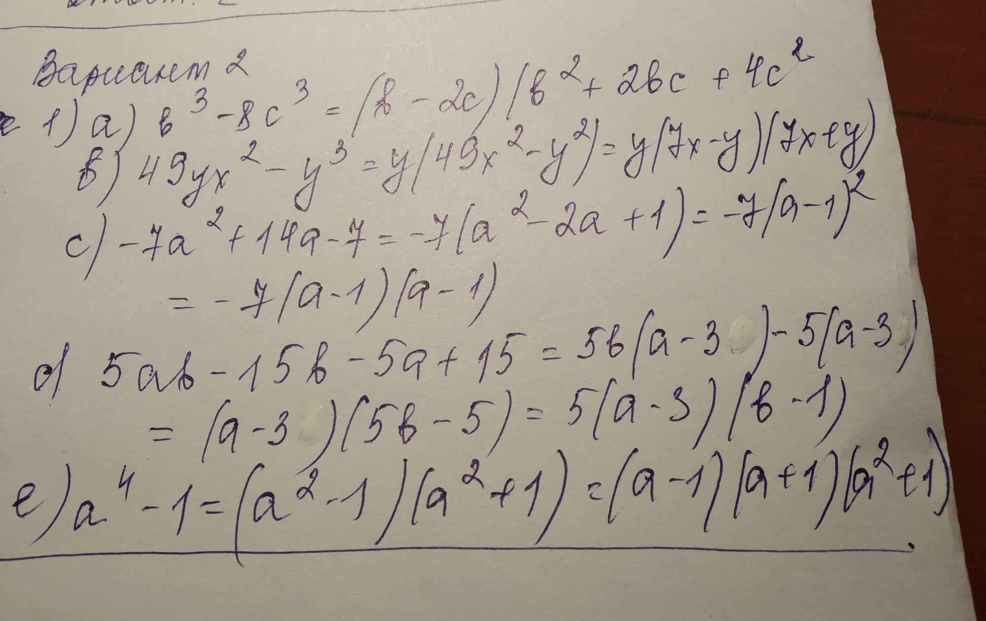
решение заданий смотри на фото
Приложения:
Автор ответа:
0
..............................
Приложения:
Похожие вопросы
Предмет: Математика,
автор: gunajisaeva774
Предмет: Физика,
автор: Vsjghjy
Предмет: Физика,
автор: Egooo163
Предмет: Алгебра,
автор: ден660
Предмет: Алгебра,
автор: irinacelcinsca