Предмет: Физика,
автор: dimaogol2000
............................................
Приложения:
Ответы
Автор ответа:
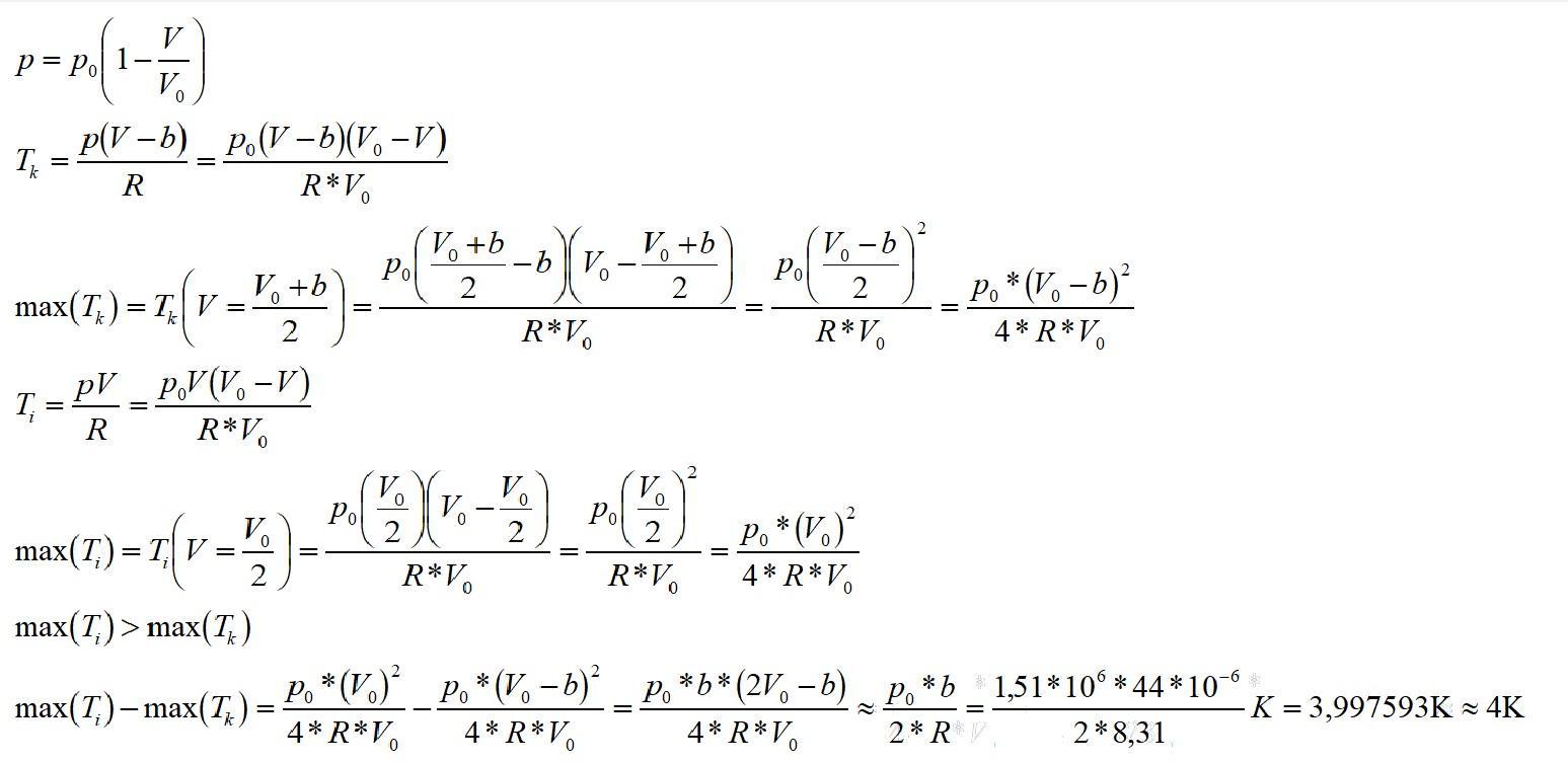
4
у идеального газа температура выше на 4 градуса
Приложения:
IUV:
ответ изменен - вставлена 1 строка
Похожие вопросы
Предмет: Русский язык,
автор: yanaexsa
Предмет: Геометрия,
автор: amaderr34
Предмет: Алгебра,
автор: antonsav123
Предмет: Математика,
автор: Hilideol
Предмет: Физика,
автор: simonowvladi20