Предмет: Математика,
автор: ksyshaLoginovskix
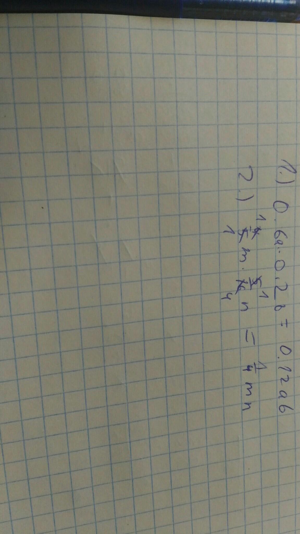
1061/1062!
очень нужно, если не сложно расспишите
Приложения:
Ответы
Автор ответа:
1
Вот, задания во вложении
Приложения:
ksyshaLoginovskix:
спасибо, выручил!
Похожие вопросы
Предмет: Математика,
автор: dariapashenko
Предмет: Математика,
автор: danilrp2021
Предмет: Английский язык,
автор: tkacd9579
Предмет: Литература,
автор: Карина8371