Предмет: Математика,
автор: Rienarisl
Помогите решить пожалуйста даю 50 баллов!!!
тема: найпростiшi тригонометричнi рiвняння.
Приложения:
Ответы
Автор ответа:
1
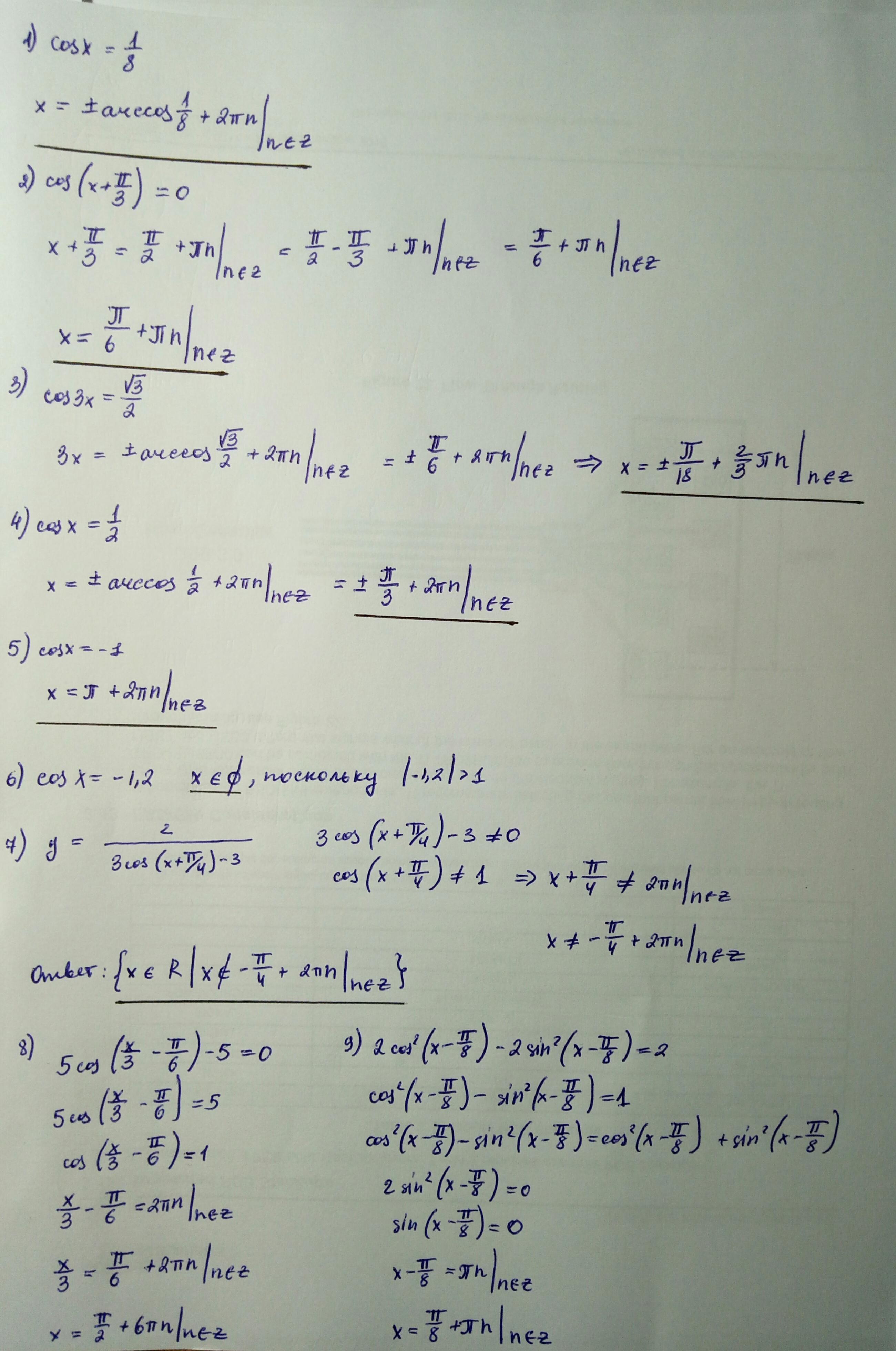
Решение с ответами на фото. При возникновении вопросов готов обсудить в комментариях
Приложения:
Rienarisl:
спасибо большое)
Похожие вопросы
Предмет: Математика,
автор: izhazhda
Предмет: Қазақ тiлi,
автор: aldiyar201105
Предмет: Обществознание,
автор: dlbrvlstrs
Предмет: История,
автор: mister83