Предмет: Алгебра,
автор: hjhgdydgfhhd
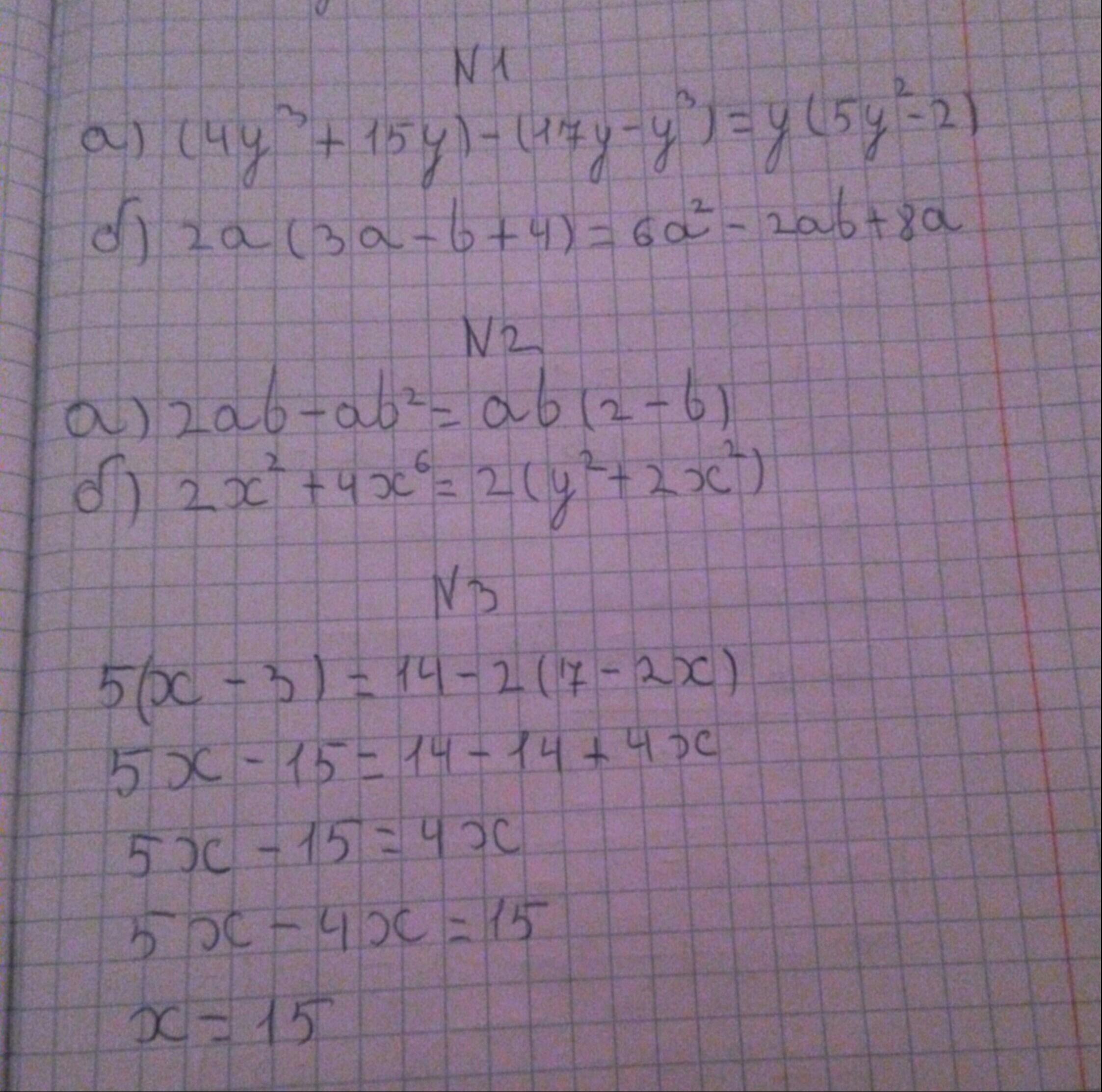
Срочно нужна помощь
Приложения:
Ответы
Автор ответа:
1
воооооооооооот удачи))
Приложения:
hjhgdydgfhhd:
Кому вертеть?
У вас все по разному получилось
ахах,не знаю
Автор ответа:
1
......................
Приложения:
Кому вертеть?
я даже не знаю
Похожие вопросы
Предмет: Математика,
автор: antonpomazan14
Предмет: История,
автор: ovoloshanuk
Предмет: История,
автор: lerazaraza3
Предмет: Литература,
автор: ktkz51
Предмет: Математика,
автор: незнаюнекокойаккаунт