Предмет: Алгебра, автор: KetKetPs

Обчисліь площу трикутника, обмеженого осями координат і дотичною проведеною до графіка функцій у=Корінь(2х)-1 в точці з абцисою х=2

Ответы

Автор ответа: Vladislav006
0
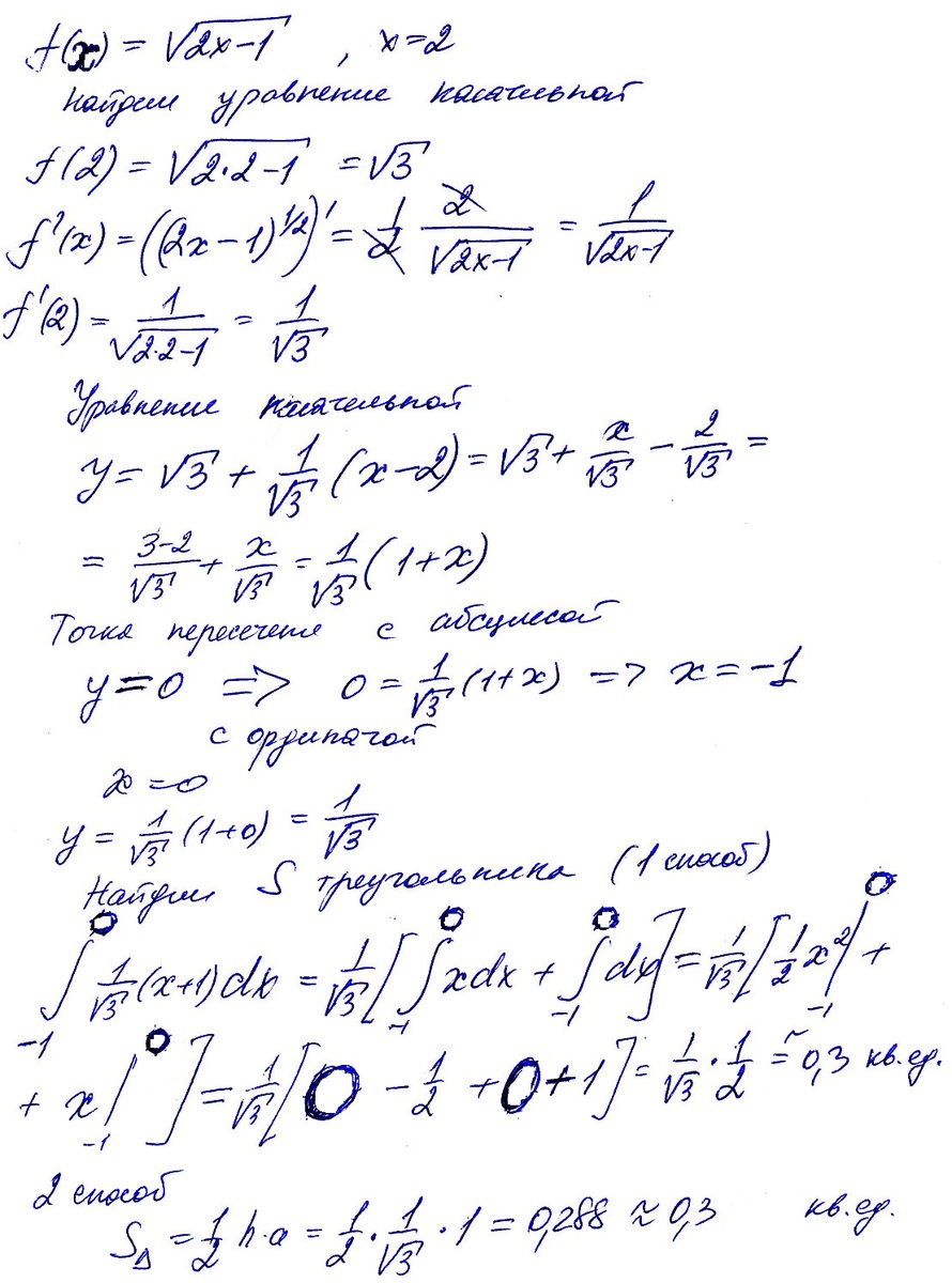
Решение представлено ниже. Также смотри графическое представление задачи
Приложения:
Похожие вопросы
Предмет: Математика, автор: zVeZdA1010
Предмет: Математика, автор: kirillkris07
ПОМОГИТЕ СРОЧНО!!!!
Изучая статистику, Сергей придумал новый метод вычисления
среднего арифметического. Сергей рассуждал так.
Пусть нам дан набор чисел. Я в уме легко найду среднее двух чисел. Все
числа разобью на пары и найду среднее в каждой паре. Если числа целые, буду
стараться составлять пары из двух чётных или двух нечётных чисел, чтобы
было легче считать. Может быть, у меня останется одно число без пары, но
все равно получится набор, в котором меньше чисел. Я его еще раз уменьшу
таким же образом и рано или поздно дойду до одного числа.

а) (От 6 класса). Покажите, что для вычисления среднего арифметического произвольного числового набора этот способ не годится.
б) (От 7 класса). Друг Сергея Пётр сказал, что способ Сергея верно работает, если в числовом наборе определённое количество чисел, и неважно, каковы сами числа. Правда ли это? Сколько чисел должно быть в наборе, чтобы способ Сергея работал верно?