Предмет: Математика,
автор: kumarovildar
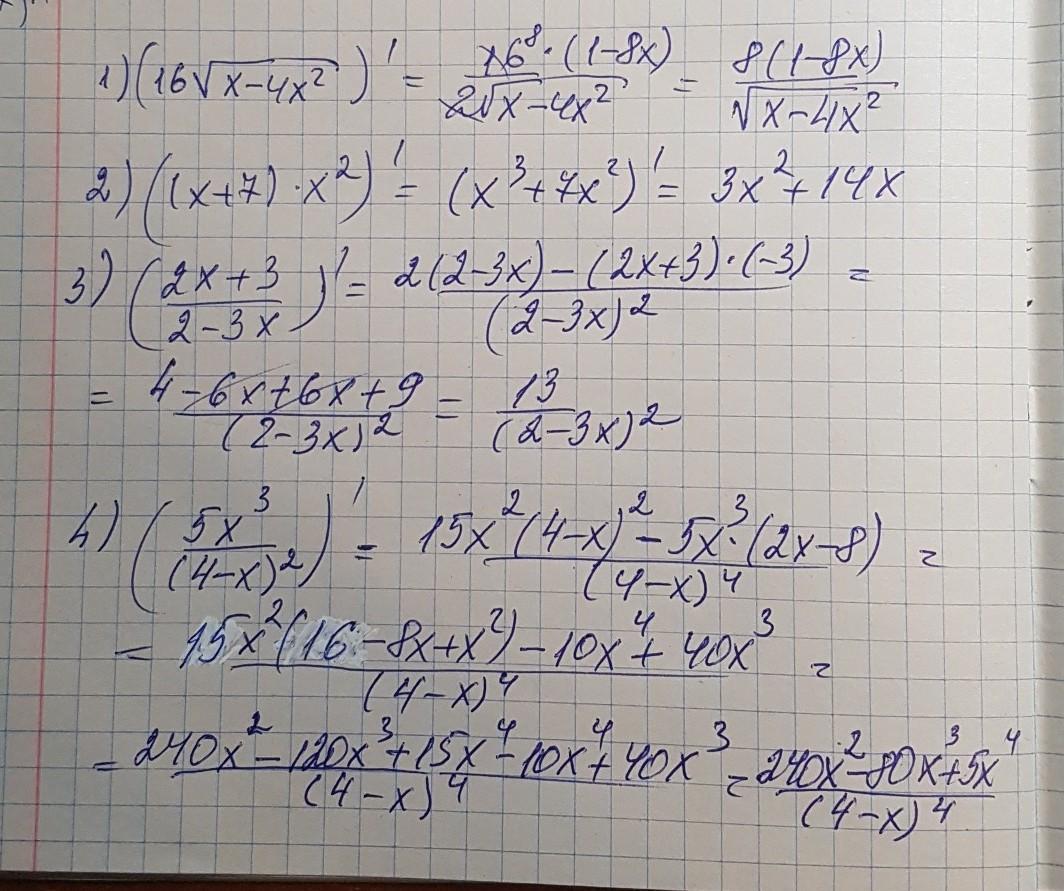
Найти производную функции
1) 16корень из x - 4x^2.
2) (x+7)x^2
3) 2x+3/2-3x
4) 5x^3/(4-x)^2
Ответы
Автор ответа:
0
решение задания смотри на фотографии
Приложения:
Похожие вопросы
Предмет: Английский язык,
автор: Dominik18361
Предмет: Алгебра,
автор: Аноним
Предмет: Математика,
автор: nadaradzeveluk
Предмет: Информатика,
автор: Adelina20
Предмет: Математика,
автор: pariwka