Предмет: Геометрия,
автор: xxxuz
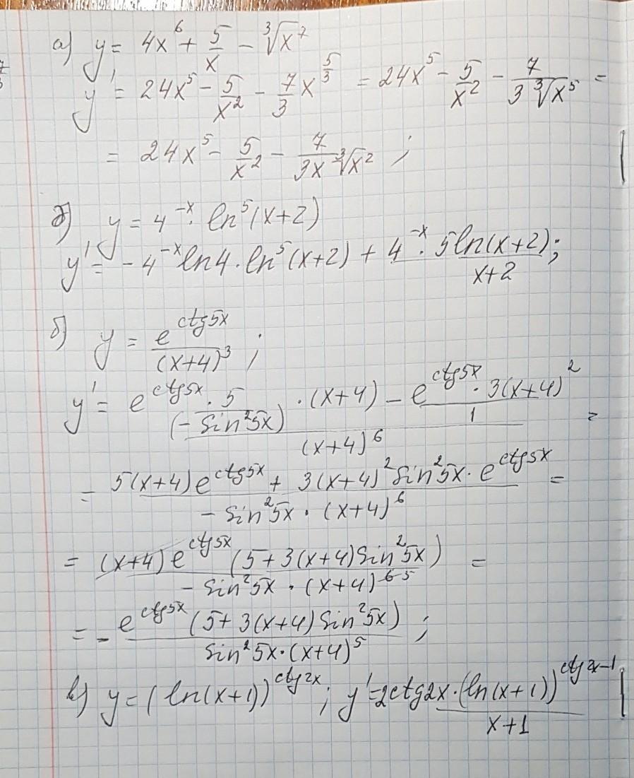
Нужно найти производную.
Приложения:
Ответы
Автор ответа:
1
решение задания смотри на фотографии
Приложения:
1233090:
спасибо за оценку
Похожие вопросы
Предмет: Химия,
автор: fffffgff
Предмет: Математика,
автор: ItachiUchiha2010
Предмет: Українська мова,
автор: angelinaafonina60
Предмет: Алгебра,
автор: SavelyevVlad
Предмет: Обществознание,
автор: ЛераЛераll