Предмет: Алгебра,
автор: borismartusevich
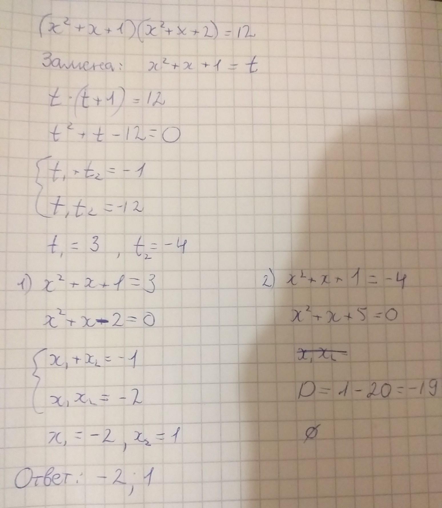
решить уравнение: (x^2+x+1)(x^2+x+2)=12 с помощью замены плез)))\
NeZeRAvix:
x^2+x=t, дальше квадратное уравнение
Ответы
Автор ответа:
0
Вот................................
Приложения:
Похожие вопросы
Предмет: География,
автор: Аноним
Предмет: Українська мова,
автор: lubovdrozdova31
Предмет: Українська мова,
автор: Аноним
Предмет: Литература,
автор: знакомьтесь
Предмет: Математика,
автор: Алисултан