Предмет: Алгебра,
автор: Аноним
помогите пж не понимаю как решить Алгебра 7 класс одночлены
Приложения:
Аноним:
если можно то фото)
Сейчас сделаю
спасибо
Ответы
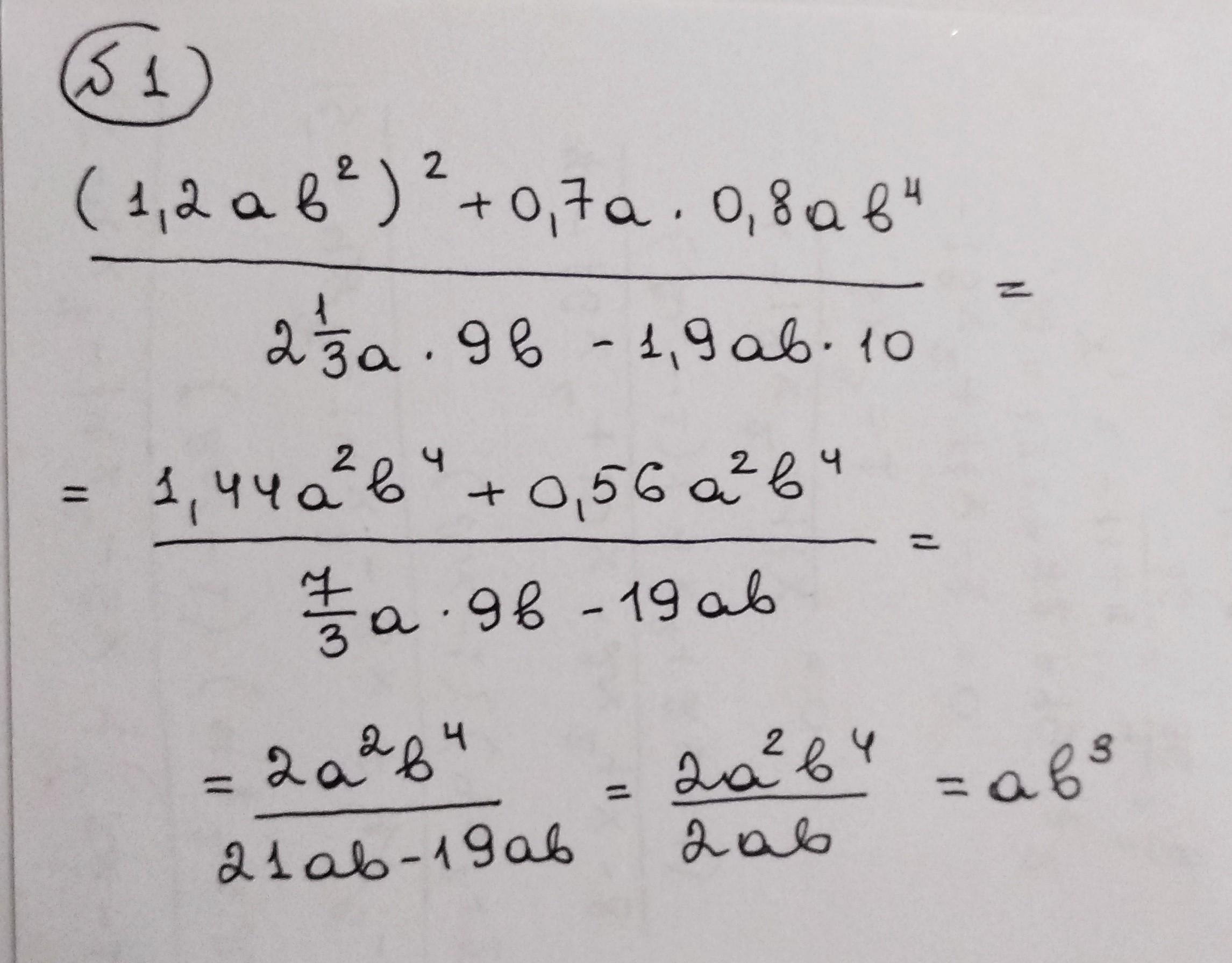
Автор ответа:
3
...........................
Приложения:
спасибо!
Автор ответа:
1
насчет 2-го могу дать совет( чтобы ты понял тему и смог объяснить)
Возводишь сначала в степень( можешь приводить дальше), но тебе лучше подставить вместо х у z значения и посчитать
Приложения:
спасибо!
Похожие вопросы
Предмет: Математика,
автор: yrikmelnikov135
Предмет: Қазақ тiлi,
автор: sofy20123009
Предмет: География,
автор: YadZyy
Предмет: Математика,
автор: 89280778850ж
Предмет: Математика,
автор: madikenzhebaye3