Предмет: Математика, автор: tqfgseke

Нужно найти интеграл. Спасите

Приложения:

Ответы

Автор ответа: bearcab
2

Ответ:

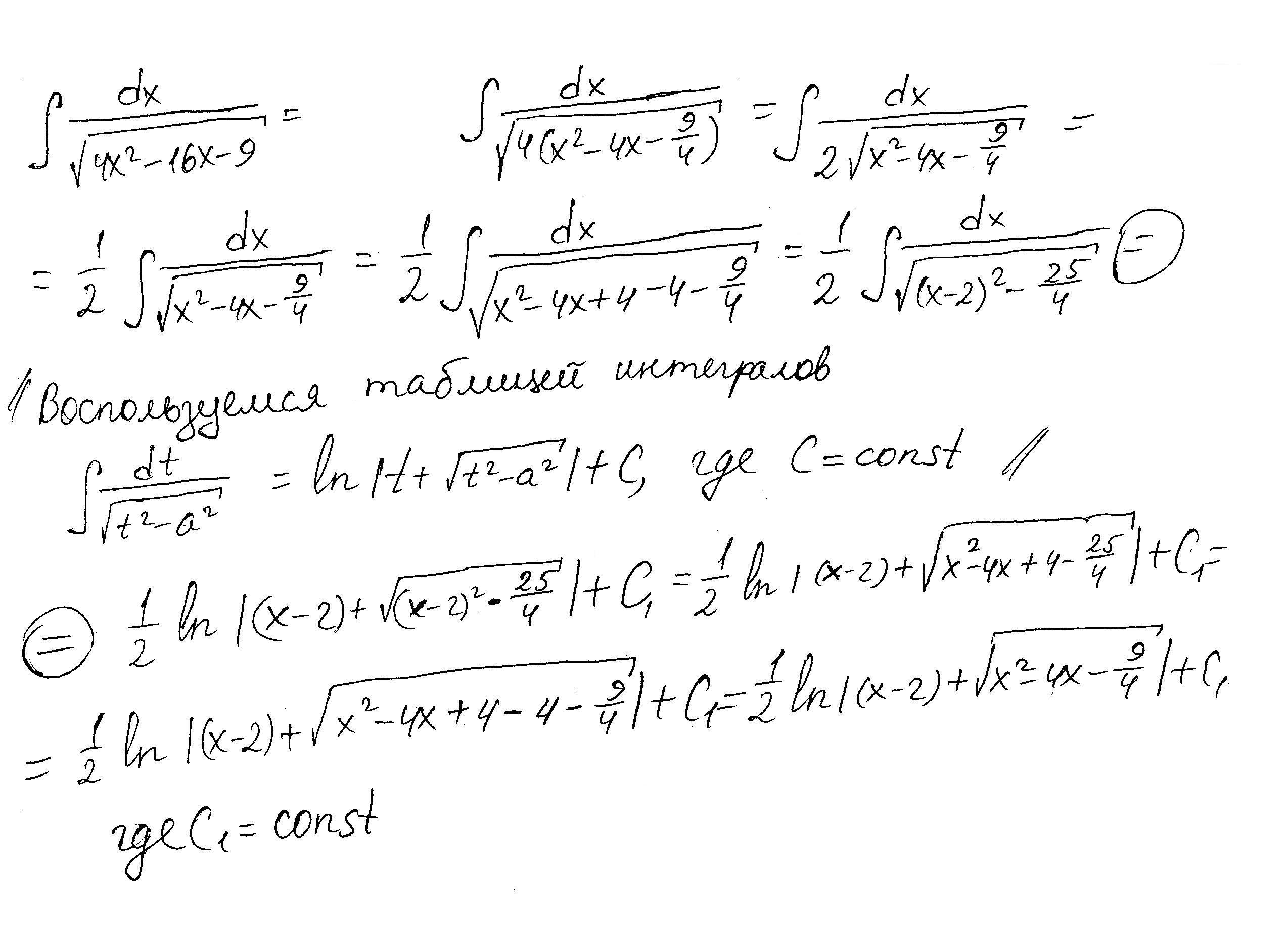
\frac{1}{2}\ln\left|(x-2)+\sqrt{x^2-4*x-\frac{9}{4} }\right|+C_1,\,\,C_1=const

Пошаговое объяснение:

Решение в приложении

Приложения:
Автор ответа: natalyabryukhova
1

Ответ:

Пошаговое объяснение:

Приложения:
Похожие вопросы
Предмет: Алгебра, автор: vmishpp14
Предмет: Українська мова, автор: VladimirVerovka
Даю 100 балов, срочно ПЖ
1.Складне речення з різними видами зв’язку є в рядку: А Якщо придивитися до квіточки каштана, то можна помітити на ній барвисті плями. Б Хвиля більшала, проте козаки були байдужі до неї: не первина їм в море ходити. В Тепло було й вишні цвіли рясно. Г Дівчина, обсипана квітами, іде, немов пливе лебедонька у воді. 2. Складне речення із сурядним, підрядним і безсполучниковим зв’язком є в рядку А А малі хлопці йшли з рукавицею, у якій повно зерна: пшениці, жита, ячменю, вівса, гороху. Б Уже травень засвітив свічки каштанів білі, і йде в квітках весна у рідному краю, я так його люблю, що передати не в силі в закоханих словах усю любов мою. В Над річкою, в чистім полі, могила чорніє; де кров текла козацькая, трава зеленіє. Г Нині кожен має бути людиною в людстві, щоб кожним нервом відчувати його болі і тривоги. 3. Складне речення із сурядним і підрядним зв’язком є в рядку А У сю величну хвилину тихо розгортаються кущі — і на галявину виходить Хо. Б Хо сидить посеред галявини, а навкруги нього панує тиша. В Долиною повилась річечка, наче хтось кинув нову синю стрічку на зелену траву. Г Межи зеленими килимами біліє гречка, неначе хто розіслав великі шматки полотна білити на сонці, а з поля віють чудові пахощі од нестиглого зерна і польових квіток. 4. Складним із сполучниковим сурядним, підрядним та безсполучниковим зв'язком є речення А Минула тривожна беззоряна ніч, і там, де попелясті сніги єдналися з небом, почав відділятися світанок. Б Коли осінь вмирає на сизому повітрі , ми старієм на рік, і немає на долю управи. В Відскрипіла возами осінь, на санях від'їхала зима, і вербовим човником до бродів прибилась весна. Г Надвечір хуга втихла, хмари на заході почервоніли, сніг стужавів і гостро заблищав, а повітря стало таким прозорим, що було далеко видно голі дерева понад шляхом. 5. Складним із різними видами зв'язку є речення А Пишається калинонька, явір молодіє, а кругом їх верболози й лози зеленіють. Б Старий поволі пішов на пасіку, щоб попрощатися з бджолами. В Тепер я заспокоююсь: значить, сонце не може загубити свої