Предмет: Математика,
автор: kot664422
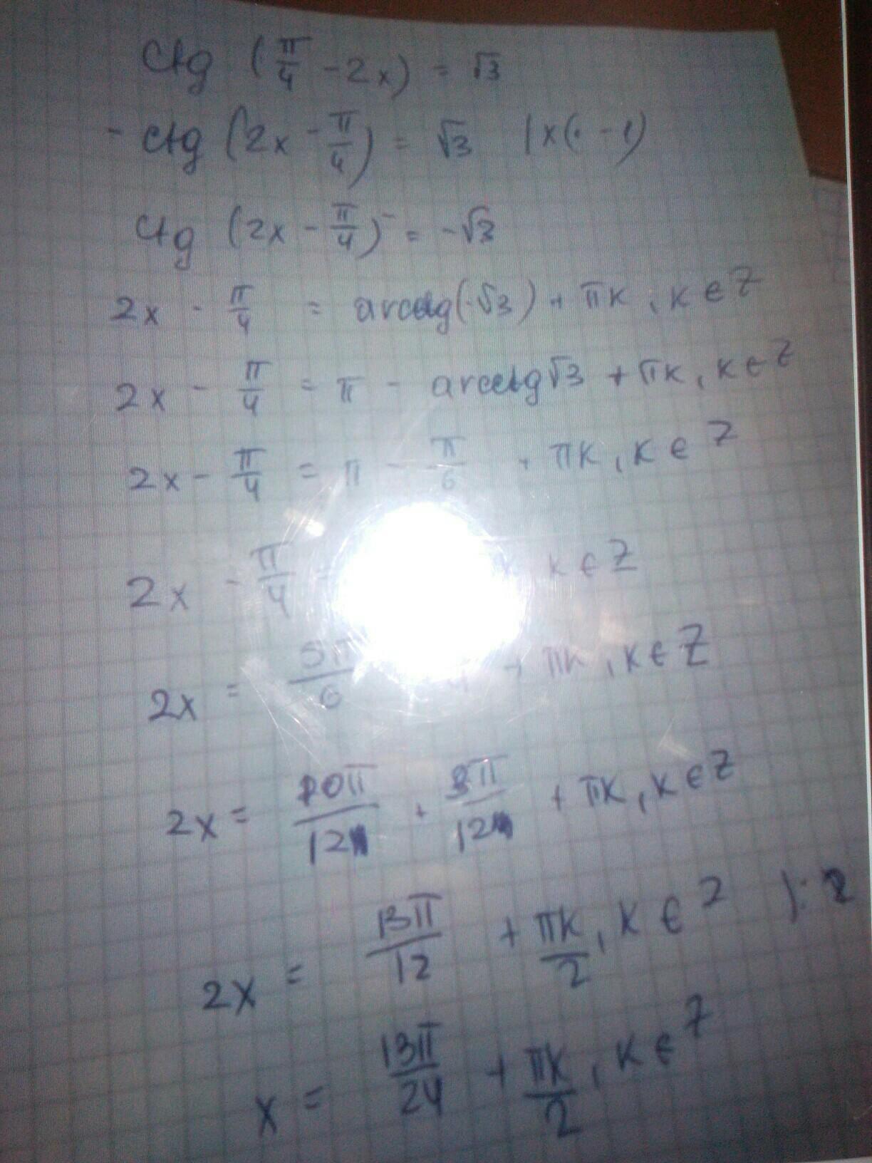
ctg^2 (x- п/4)=3
помогите решить плиз
Ответы
Автор ответа:
0
Там где не видно:=5п разделить на 6+пk,
Приложения:
Похожие вопросы
Предмет: Биология,
автор: sonombilguun
Предмет: Физика,
автор: lilicatri279
Предмет: Английский язык,
автор: DzhetygenovaMilana
Предмет: Математика,
автор: olegderevyankin
Предмет: Биология,
автор: Baimagambetova30