Предмет: Алгебра,
автор: Dushzhanov987
Определённый интеграл.

как это решается через арк синус?
zlo53:
тут я к сожалению бессилен(не проходил)
эта задача устная ( геометрический смысл интеграла )
Ответы
Автор ответа:
4
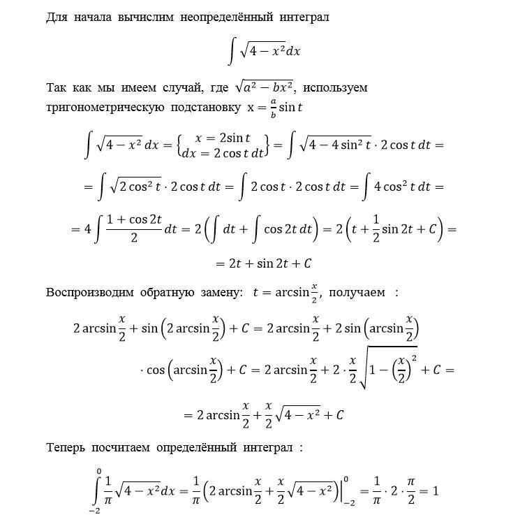
Решение смотрите на фотографии
Приложения:
Автор ответа:
3
Решение : /////////////////////////////
Приложения:
Похожие вопросы
Предмет: Алгебра,
автор: dgbsjdnsnskg
Предмет: Психология,
автор: gunkinalera
Предмет: История,
автор: ItIsMarusIsBL
Предмет: Математика,
автор: oksanochkademe