Предмет: Математика,
автор: zagvozdkin2014
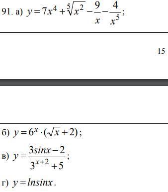
Найти производную и дифференциал данных функций.
Приложения:
Ответы
Автор ответа:
0
а) y' = 28x³ + (2/5)*x^(-3/5) + (9/x²) + 20x⁻⁶
dy = 28x³ + (2/5)*x^(-3/5) + (9/x²) + 20x⁻⁶ dx
б) y' = (6ˣ/(x*ln6))*(√x + 2) + 6ˣ*(1/2√x)
dy = (6ˣ/(x*ln6))*(√x + 2) + 6ˣ*(1/2√x) dx
в) y' = (3cosx*(3ˣ⁺² + 5) - (3sinx-2)*(3ˣ⁺²/((x+2)*ln3)))/(3ˣ⁺² + 5)²
dy = (3cosx*(3ˣ⁺² + 5) - (3sinx-2)*(3ˣ⁺²/((x+2)*ln3)))/(3ˣ⁺² + 5)² dx
г) y' = (1/x)*sinx + lnx*cosx
dy = (1/x)*sinx + lnx*cosx dx
Похожие вопросы
Предмет: Математика,
автор: goryukmikola
Предмет: Биология,
автор: nika9362
Предмет: Русский язык,
автор: mahsa200826
Предмет: Математика,
автор: КиберЛучший